Abstract
Introduction:
The impact of COVID-19 on small-scale fishing communities is of great concern given the importance of aquatic foods in trade, nutrition and livelihoods. Using a case study of Lake Victoria, augmented by published literature, we examine the socioeconomic dynamics and severity of COVID-19 impacts on Kenyan fishing communities.
Methods:
A household level questionnaire was administered through phone interviews on a monthly basis from June 2020 to May 2021, including a focus group discussion in July 2021.
Results:
We find that multifold fear of COVID-19 infection and control measures were present and varied across case rates and stringency of control measures. Fishers and traders reported being affected by disease control measures that limited market access and their ability to fish overnight. In spite of these worries, and contrary to what has been reported in the published literature regarding impacts observed in the early months of the pandemic, we see stable participation in fishing and fish trading over time despite the pandemic. Food insecurity was high before and during the COVID-19 pandemic, but did not substantially shift with the pandemic.
Conclusion:
Our findings suggest that Kenyan fishing and fish trading households adopted diverse strategies to cope and balance generating income to provide for their families and staying safe. Our results underscore the need to understand ways in which acute pandemic impacts evolve over time given that effects are likely heterogeneous across small-scale fishing communities.
Introduction
The COVID-19 pandemic continues to expose the fragility of global food systems and poses a threat to food security, nutrition, and health. A combination of persistent waves of infection and movement restrictions designed to curb the spread of COVID-19 have exposed food systems to a unique multivariate shock, albeit one that brings together a familiar set of concerns and livelihood impacts (Upton et al., 2022). Aquatic food systems are a key source of food and livelihoods, and we focus on understanding the impacts of COVID-19 pandemic on small-scale fishing communities.
Small-scale fisheries support 100 million livelihoods globally, provide food for 1 billion fish consumers, and comprise two thirds of global fish catch (Short et al., 2021). Small-scale fisheries also face a unique set of vulnerabilities in the face of COVID-19. The intertwined, globalized nature of aquatic food supply chains (Jamwal and Phulia, 2021) as well as reduced market demand and stay-at-home orders have hampered aquatic food production (Stokes et al., 2020). A high degree of trade within fisheries exposes supply chains to a range of disruptions (Knight et al., 2020). Further, the communal nature of fishing; fishing methods that take place over long time periods, distances, and overnight; and concerns about fish spoilage without timely access to markets may make fishing and trading particularly difficult in the context of some disease control measures such as dusk-to-dawn curfews and lockdowns (Aura et al., 2020).
Within the context of the COVID-19 pandemic, research articulating the experiences and perspectives of fishers and traders has been highlighted as a particular need (Love et al., 2021). We aim here to describe the experience of small-scale fishing communities around on the Kenyan shores of Lake Victoria throughout the first year of the COVID-19 pandemic, covering a period from March 2020 through July 2021. Combining a monthly longitudinal survey over the year following the first COVID-19 infections and focus group data, we provide a novel picture of fishing communities within this dynamic and uncertain period. Our work builds on a growing literature about the impact of COVID-19 on fisheries, which we first review below in order to situate our findings.
Fishing and marketing activities
To date, the peer-reviewed literature on COVID-19 impacts on small-scale fishing activities has largely focused on the early phases of the pandemic and found reduced participation in fishing activities and harvests. Small-scale fishers from India (Avtar et al., 2021), Peru (Grillo-Núñez et al., 2021), Bangladesh (Hoque et al., 2021), the Philippines (Manlosa et al., 2021), Kenya (Aura et al., 2020; Fiorella et al., 2021), Indonesia (Campbell et al., 2021; Rosado et al., 2022), and the nations around the Mediterranean Sea (Coll et al., 2021) reported reductions in fish catches, effort (vessels fishing per day), and income in early- to mid-2020. The extent of the reductions in effort varied widely. While Mediterranean small-scale fishers saw effort drop by 34% (Coll et al., 2021), estimates from Peru suggest fishing trips fell by 80% (Grillo-Núñez et al., 2021). In three Indian ports, the proportion of boats parked within harbors rose sharply, including by over 800% at one site (Avtar et al., 2021).
At fewer sites, increases in fishing have also been documented. Subsistence fishing in the Bahamas rose sharply in a described “panic fishing” period that began when the island closed to visitors and dissipated relatively soon thereafter (Higgs, 2021). In a survey across South Pacific Island nations, villages that experienced in-migration were more likely to report increased fishing pressure and in some nations (e.g., Tonga, Tuvalu, Papua New Guinea) a majority of respondents reported increased fishing pressure, though there was not a clear regional trend (Ferguson et al., 2022).
Findings about reduced activities in the early phase of the pandemic within small-scale fisheries are mirrored in large scale, industrial sectors. Research engaging global vessel monitoring systems found reduced trawling activities by Spain, China, and Japan (He et al., 2021); declines in seafood catches, imports, and exports in the US (White et al., 2021); reduced effort, landings and profit in the Adriatic Sea (Russo et al., 2021); and decreased fishing activity globally, though not reduced fishing pressure (Coro et al., 2021).
Fish marketing and price disruptions due to COVID-19 were widely reported across fisheries of all types and scales, affecting actors throughout fish value chains. Notable patterns of marketing disruption include inactivity or reduced fish marketing in tourism-dependent markets in the Canary Islands (Guerra-Marrero et al., 2021), and globalized export markets in diverse locations (Bassett et al., 2021; Grillo-Núñez et al., 2021; Sowman et al., 2021).
Physical distancing and movement restrictions shaped fish marketing activities across the world (Manlosa et al., 2021; Sowman et al., 2021), including in coastal and inland Kenyan fisheries (Aura et al., 2020; Lau et al., 2021). Such dynamics have potentially different implications for actors at different points in the value chain. Curfews and restrictions on gathering size impeded fishers, fish traders, and customers' ability to maintain their trade relationships (Lau et al., 2021). Barriers came in many forms, and were particularly pronounced for women, who make up a significant portion of fish traders in Kenya (Lau et al., 2021). Female fish traders experienced difficulties obtaining fish directly from fishers and marketing them in a timely manner, especially during the period when open eateries were closed and trading hours reduced (Lau et al., 2021). Meanwhile, movement restrictions created difficulties for male fish traders to access the larger markets where they normally trade high-value fish (Lau et al., 2021).
Price disruptions were widely reported among small-scale fishers and traders during the COVID-19 pandemic. Bassett et al. (2021) document how market dynamics shifted dramatically, including to direct-to-consumer marketing, subsistence fishing, and gifting of fish for food in diverse settings such as Peru, California, and the Andaman and Nicobar Islands. Such drastic, localized shifts underscore that within small-scale fisheries globally, price dynamics and their welfare effects are highly diverse and complex. Notably, a well-documented study in Indonesia shows that the average price of fish declined in response to the pandemic, but access to the fishery was so restricted that the 10% of fishers who were able to fish obtained record catches that counteracted price declines and left those particular fishers better off (Campbell et al., 2021).
In Kenya, inland fishers reported both declines in catch and declines in prices (Aura et al., 2020; Lau et al., 2021). Price declines were attributed to closures of major markets due to lockdown, causing a glut in local markets, despite reduced catch (Aura et al., 2020; Lau et al., 2021). Documentation of price dynamics beyond qualitative reports is scant and contradictory. Ongoing market monitoring data of primary species in major markets around Lake Victoria does not support reports of price declines in the early COVID-19 period (Aura et al., 2020). Fish consumers around Lake Victoria widely reported increases in fish prices during COVID-19 (Aura et al., 2020; Fiorella et al., 2021; Lau et al., 2021), adding further complexity to the puzzle of fish price dynamics around Lake Victoria during COVID-19. This complexity, however, is not surprising given the nature of prices and the difficulty of collecting robust price data and accounting for complex dynamics that impact both prices and perceptions of prices by producers and consumers.
Food security and nutrition
Fisheries provide a critical source of both income and highly nutritious food, which contribute indirectly and directly to food security. A critical marker of household wellbeing, food insecurity is associated with decreased nutrient intakes (Dixon et al., 2001; Park and Eicher-Miller, 2014), chronic diseases (Seligman et al., 2007, 2010; Nagata et al., 2019), including depression (Hromi-Fiedler et al., 2011). The COVID-19 pandemic and associated control measures have detrimentally impacted nutrition and food security in higher-income (Kent et al., 2020; Loopstra, 2020; Niles et al., 2020) and lower-income countries (Kansiime et al., 2021; Picchioni et al., 2021a), due to impacts on food access, food availability, food prices and household income (Picchioni et al., 2021a).
Within East Africa, food insecurity generally increased in early to mid-2020 (Kansiime et al., 2021; Picchioni et al., 2021b). In Kenya, food insecurity increased from 50% pre-pandemic to 88% during the pandemic among randomly selected respondents to an online survey, with affordability and lack of market access identified as potential reasons for observed changes (Kansiime et al., 2021). Given the online data collection, we would expect that the population surveyed would have, on average, better food security and diet quality than members of fishing communities along Lake Victoria. Further, similar dynamics might influence fishers and traders differently given that their experience of both disease control measures and food insecurity likely differ as well. In a study in Baringo County, Kenya, participants who had previously participated in a pre-pandemic survey were included in a follow-up phone survey during the early phase of the pandemic (Tabe-Ojong et al., 2022). Results showed a high food insecurity rate of 90%. In this study however, pre-pandemic rates were not reported.
Diet quality was also negatively impacted in the early phase of the pandemic in many places globally, particularly during the periods when lock-down measures were in place (Picchioni et al., 2021a). In Ethiopia for instance, household dietary diversity scores reduced from 9.3 in Feb 2020 pre-pandemic to 8.5 by May 2020 and returned to the pre-pandemic level of 9.4 by August 2020 as lockdown measures were lifted (Hirvonen et al., 2021) and other regions (Mangubhai et al., 2021).
COVID-19 disruptions also impacted food security and diet quality in Kenyan fishing communities (Fiorella et al., 2021; Lau et al., 2021). In five coastal fishing communities in Kenya, a decrease in both the quality and quantity of food consumed was reported (Lau et al., 2021). Specifically, respondents indicated that reduced income affected their dietary diversity as they reduced variety (e.g., depending on corn meal) and/or switched to cheaper foods (e.g., sardines, amaranth leaves), with some respondents perceiving the insufficient quality and quantity of food was affecting their health (Lau et al., 2021). In three fishing communities around Lake Victoria, fish consumption fell significantly from March to May 2020 (Fiorella et al., 2021). However, little information is available on the socioeconomic experiences of small-scale fishing communities over longer periods during the COVID-19 pandemic and its associated government controls and policies.
Study aims
In this study, we build on findings from the early phase of the pandemic's impact on fishing communities and respond to calls to analyze the experiences and perspectives of fishers and traders has been highlighted as a particular need (Love et al., 2021). We aim to understand the impacts of the COVID-19 pandemic and government-instituted control measures on worry, fishing activities, fish markets and price, food security, and food consumption patterns among fishing communities around Lake Victoria, Kenya. We analyzed worry given our initial uncertainty about data quality on COVID-19 cases, to assess lived experiences for our participants, and to explore the relationship between worry and behavior changes. Our study is unique in that it includes baseline measurements of food security and food consumption collected immediately before the COVID-19 pandemic; although changes observed cannot be attributed to the COVID-19 pandemic given the potential for other factors (e.g., seasonality, localized flooding).
Methods
Study site, design and data
The study was conducted in three Kenyan fishing communities bordering Lake Victoria in Kisumu and Homa Bay counties in partnership with the Kenya Marine and Fisheries Research Institute (KMFRI). One community (Dunga) is located in peri-urban Kisumu, the third largest city in Kenya and the capital city of Kisumu County, while the other two (Lela, Kananga) are rural communities located near Homa Bay, the capital of Homa Bay County. In these communities, we implemented a longitudinal survey that spanned from March 2020 through May 2021, and follow-up focus group discussions in July 2021.
The three communities were part of eight communities that, prior to the COVID-19 pandemic, were selected for an in-person survey beginning in March 2020 that aimed to understand the impacts of harmful algal blooms on fishing communities. Communities were originally selected to represent exposure to high or low intensity of algal blooms in Kisumu Bay based on local knowledge of algal bloom patterns. Within these fishing communities, food insecurity and nutrition are longstanding concerns (Nagata et al., 2013, 2015; Milner et al., 2017).
Within each of the eight study communities, we worked with community leaders and Beach Management Units (BMU), the local fishery co-management committees, to generate a household list comprising all households located in the community. We defined a household as a group of people who sleep in the same house and take some or all of their meals together. Using the compiled household list, we randomly selected 30 households within each of the eight communities. We intended to visit 240 households across all eight communities, but the in-person survey was halted on March 21, 2020 shortly after the first case of COVID-19 in Kenya. At that time, we had collected complete information on household socio-demographic characteristics, food security and food consumption from the person mainly responsible for food preparation in 90 households across three communities. Though we were not able to complete data collection for the remaining study communities due to COVID-19, the sample selection protocol was followed for the three communities where data collection was completed. Therefore, our sample can be said to be representative of these three communities. Further generalization should, however, be made with caution.
On June 5, 2020, we began a 12-month follow-up phone survey with the 90 previously surveyed households to understand the impacts of the COVID-19 pandemic and government-instituted control measures on worry, fishing and marketing activities, food security and food consumption patterns. We pre-determined a 12-month follow-up was enough to help us examine any period at the outset of the pandemic impacts and focused our analysis on the early phase given this was the time period when lockdowns were most common. Out of the 90 participants, we were able to obtain oral consent and re-enroll 88 participants into the follow-up phone survey. One participant could not be located and one participant had died prior to follow-up. We collected information on household food security and household food consumption using the same questionnaires as the March 2020 survey. An additional module was administered to measure the perceived impact of COVID-19 and associated movement restrictions on worry, fishing activities, marketing activities and coping strategies.
In July 2021 we conducted a total of three focus group discussions, one held in each study community, to understand how people perceived COVID-19 impacts and augment the household surveys. Because we anticipate heterogeneous experiences of COVID-19 across the fish value chain, focus groups were comprised of different value chain actors, including fishers and input providers; fish traders and processors; fisheries co-management partners, or Beach Management Unit (BMU) representatives; fisheries officers; and the local administration. The FGD participants were different from respondents in the household surveys and though they originated from the same communities, their experiences may not be assumed to be similar across groups. Each discussion group had 12 participants, with at least three fish traders or processors, three fishers, and two fishery managers. The discussions covered topics relating to COVID-19 policies, food insecurity, and the Lake Victoria fishery. Focus groups were facilitated by trained staff from the Kenya Marine and Fisheries Research Institute and conducted in Luo for native speakers and translated in English or Swahili for non-native speakers. Participant responses from FGD were summarized based on the discussions relating to COVID-19 policies, food insecurity, and the Lake Victoria fishery.
The study protocol was reviewed and approved by the Cornell University Institutional Review Board and our partner organization the Kenya Marine and Fisheries Research Institute.
Overview of COVID-19 in the study area
The first case of COVID-19 was officially reported in Kenya on March 12, 2020, followed by a period of evolving measures and resources available to curb the spread of the pandemic. These measures varied throughout the country and those in place in our study area are depicted in Figure 1. Communities faced bans on gatherings beginning in April 2020, with significant disruption to daily activities. Such bans were not officially lifted in Kisumu until May 2021, 2 months after vaccination against COVID-19 became available in Kenya. Curfews were also in effect throughout the study period, ranging from 7:00 p.m.−5:00 a.m. in the early pandemic period, to 10:00 p.m.−4:00 a.m. in 2021. Such curfews are particularly relevant for those who fish through the night. Unlike other major cities in Kenya, Kisumu residents never faced bans on movement in and out of the city, though such movement bans may have been in place in destination market cities such as Nairobi. The government also put in place intervening measures such as tax relief and tax suspension for those earning less than Ksh 25,000 pm; reduction of fish trading levies; suspension of credit listing for borrowers (<Ksh 5M); and authorization of essential services.
Figure 1

Evolution of COVID-19 cases, deaths and policy. Sources: cases, deaths, and stringency data obtained from the COVID-19 Data Repository by the Center for Systems Science and Engineering (CSSE) at Johns Hopkins University. Policy information was obtained from the Kenyan Ministry of Health Kenya COVID-19 Situation Reports and from the Presidential Addresses on the Coronavirus Pandemic (Kenyatta, 2020, 2021; Ministry of Health, 2020a,b).
There were several notable spikes in case rates and deaths in Kenya during our study period, including in August 2020, then in November 2020, and finally in April 2021 when an increase in cases preceded a longer period with higher deaths that lasted until October 2021 (Figure 1).
Key variables
The follow-up phone survey collected information on households' COVID-19-related concerns and behaviors, food consumption, fishing activities and fish trading activities. We discuss the key variables below and a complete set of variables used in this study can be found in Supplementary Table A4.
COVID-19-related worry
Concern about COVID-19 is captured in two questions about how often the respondent has been worried about themself or household members getting infected, and how often the respondent has been worried about how the measures to control COVID-19 are affecting themself or their family. We use secondary data sources for COVID-19 cases, deaths and a “stringency index” of COVID-19 control measures obtained from the COVID-19 Data Repository by the Center for Systems Science and Engineering (CSSE) at Johns Hopkins University.
Fishing and marketing activities
Fishing and trading participation was calculated based on whether a household reported having fished and/or traded fish at least once in the prior 7 days. Fish trading includes fish processing and selling. Total fishing effort in the prior week was calculated by multiplying the reported average time spent on fishing in a day by the number of days in the prior week that someone in the household fished. Trading effort is calculated separately for processing and selling using the same approach.
Further information on how fishers and traders perceive their behavior and experience has changed due to COVID-19 are captured in a set of questions about how often they did any of the following due to COVID-19: fished more, fished less, traded more, traded less, ate more fish rather than selling, sold more fish rather than eating, and lost fish to spoilage due to inability to sell.
Food security and nutrition
The Household Food Insecurity Access Scale (HFIAS) measures food insecurity using a series of questions about food availability and behavior (Coates et al., 2007). A set of four food insecurity categories—food secure, mild food insecurity, moderate food insecurity and severe food insecurity—were calculated using standard methodology (Coates et al., 2007). Households were also asked about their use of a series of food-related coping strategies in response to the COVID-19 pandemic (see Supplementary Table A4 for further detail).
To examine dietary diversity and diet quality, we employed the widely used Household Dietary Diversity Scale (HDDS) (Swindale and Bilinsky, 2006). The HDDS is constructed based on respondents recall of household's intake of food groups in the past 7 days. Respondents are the person mainly responsible for preparing food in the household and therefore well-positioned to provide this information. While the authors of the Household Dietary Diversity Score recommend a recall period of 24 h to avoid recall bias, a 7-day recall period has commonly been used as well by several studies (Ruel, 2003). In the survey, participants were asked whether they or members of their household had consumed different food groups in the past 7 days. Food groups are categorized into 12 food groups and summed using standard methodology to generate a score ranging from 0 to 12, with higher values indicating a more diverse diet (Swindale and Bilinsky, 2006). In addition to calculating dietary diversity scores, we also independently examined specific food groups consumed in order to understand consumption patterns of nutrient dense foods before and after the onset of the COVID-19 pandemic.
Households were also asked about their perception of food prices across eight food categories in the previous 30 days. Respondents could indicate whether they felt prices had increased, decreased, stayed the same or did not know.
Results
Demographics
The characteristics of survey respondents and their households undergird their pre-COVID-19 household welfare, and the coping responses available to them during the pandemic. Households' livelihood and assets provide context for socioeconomic status and available capital to draw on in times of crisis. Participants averaged 42 years of age, and were mostly female (90%) and married (60%). As of March 2020, the average household size was 5.6. Respondents' education level varied widely from nearly half with no education or only partial primary education (47%), some with primary education and/or some secondary education (40%) and 13% with a complete secondary education or post-secondary education. Survey respondents' were involved in fishing livelihoods, either as traders (30%) or, more rarely, as fishers (9%). The vast majority of households owned land (89%) and/or livestock (86%); most commonly poultry, cattle, and goats. See Supplementary Table A1 for additional demographics.
Worry about COVID-19 infection and policies
We began tracking respondents' concern about themselves or household members getting infected with COVID-19 in June 2020. Understanding worry is important because of its direct effect on quality of life as well as indirect effects on important outcomes, such as livelihoods and food security. At this time, those reporting they were “often” or “always” concerned about infection is high, though declines steadily through August before climbing again in October (Figure 2). Throughout the period, the intensity of such worry statistically corresponds to the national level case and fatality increases, as well as the stringency index (all p-values < 0.001) (Supplementary Table A2).
Figure 2

Worry about COVID-19 infection of self or household member.
Survey respondents' worry about livelihood impacts of COVID-19 control policies is generally more moderated and less variable than concern about infection, with some minor increases in August 2020, December 2020, and February–May 2021 (Figure 3). These coincide with periods when COVID-19 restrictions were lessening. In July of 2020 churches and borders reopen and on November 4, 2020, the curfew is relaxed for the second time during the study period. In March 2021, vaccination becomes available and by May the ban on gatherings is lifted. Concern about COVID-19 policies is positively and statistically correlated with the stringency of COVID-19 measures (p < 0.001) as well as with cases and deaths (p < 0.01) (Supplementary Table A2).
Figure 3

Worry about effects of COVID-19 measures on self/household.
Focus group discussions corroborate the relationship between stringency and worries about policies, finding repeated concerns about the effects of restrictive policies related to movement, mandatory use of PPE, prohibition of social gatherings and social distancing with respect to fishing activities and working conditions, food security, marketing, vulnerable social groups and fishery management (Supplementary Table A3). Participants reported that relaxation of COVID-19 measures by the government led to increased food supply and improvement in business conditions, especially, through increased trading hours and bonding time with customers. On the contrary, it created additional expenses for parents with school-going children in terms of frequent school fees payments for shortened term dates and higher risk of contracting COVID-19 by children. Currently, while the fear of contracting COVID-19 still remains, there is greater appreciation for the freedom of movement and intermingling and restoration of lost jobs. Discussants preferred the current situation to the former regulations.
Fishing and marketing activities
Focus group discussions identified Kenya's COVID-19-related curfew as having the most direct effect on fishing activities, altering fishing trips and duration in meaningful ways to respondents. Fishers reported reduced trips per day, especially when the next trip overlapped into curfew hours. Fishers and traders who operated routinely for more than 10 h prior to the pandemic reported shortening their working hours to adhere to curfews. The most affected fishers were those who relied completely on night fishing for dagaa and Nile perch, which conflicted directly with curfews. Such fishers risked reduced incomes when forgoing fishing, or police harassment for breaking the curfew rules. Others adapted by fishing longer hours, departing before curfews were in effect and landing after curfews lifted the following morning, to avoid the police who mostly patrolled on land during curfew hours. In addition to longer working hours, this response also risked fish spoilage before landing. Many fishers also reported labor shortages within fishing due to the exit of many fishers during this time.
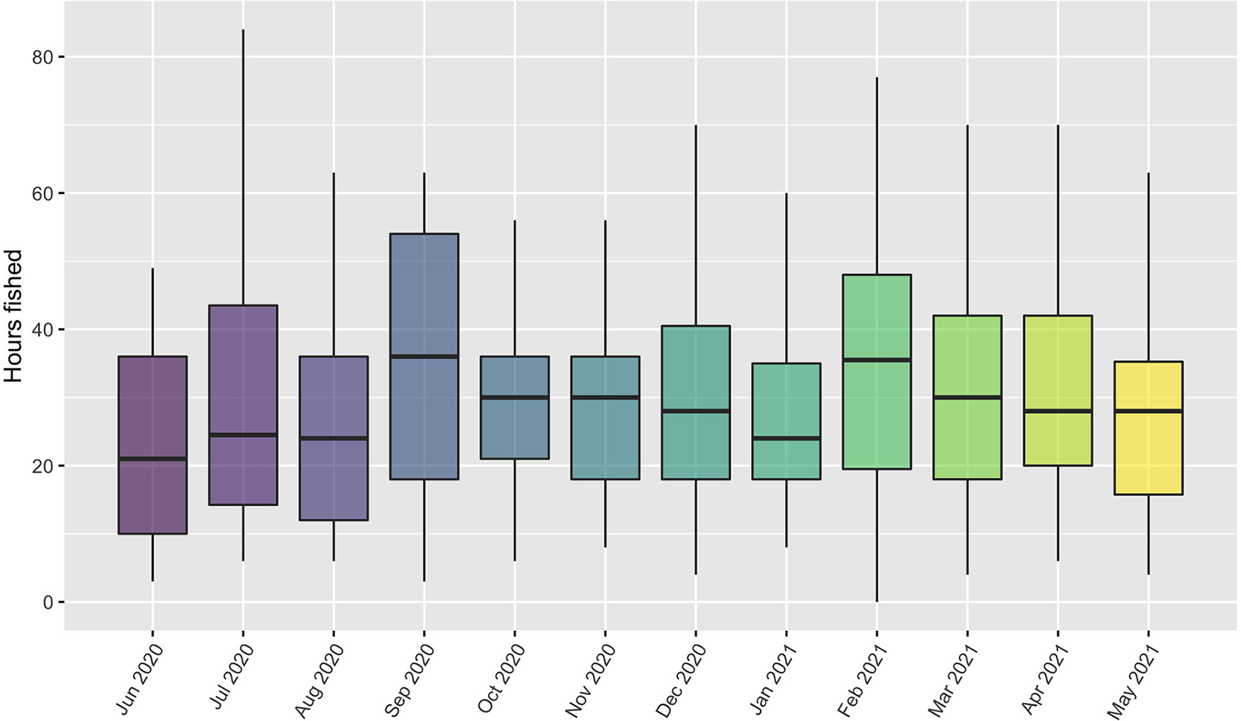
Despite persistent reports of fishing disruption in the FGDs, we observe very little variation in reported fishing activities across the study period in the survey data. Between 49 and 54% of households in our sample fished, traded fish, or did some combination of the two in the week prior to interview (Figure 4). There are no statistically significant differences in reported fishing activities across time from June 2020 through May 2021, though we note this does not include a pre-pandemic timepoint. Among those who fished, at any point in time, there is a lot of variation in the amount of time spent fishing, but we do not see dramatic changes in the mean or median time spent fishing from 1 month to the next (Figure 5). While average fishing time did not change from 1 month to the next, fishers report in our survey both increased and decreased fishing behavior due to COVID-19 (Supplementary Figures A1, A2) and 61% of respondents report both increases and decreases in fishing in response to COVID-19 within the same month, which may reflect longer yet fewer trips.
Figure 4

Household participation in fishing, trading, both or neither in past 7 days.
Figure 5

Total hours fished in previous week (among those who fished).
Fishers reported selling their fish, rather than eating it, more often than usual and there are very few reports of spoilage due to lack of opportunity to sell (Supplementary Figures A3, A4). This suggests that marketing opportunities were available to fishers in our sample. Traders similarly reported selling more than usual (rather than eating) and low levels of spoilage (Supplementary Figures A5, A6). Fishers and traders both reported catching and processing less fish than usual compared to the same time in the prior year, particularly in June, July and August 2020 (Supplementary Figures A7, A8). Focus group discussions tell a different story. Discussants reported that spoilage of fish was rampant and operational costs increased due to the need to adopt preservation methods. They noted few fish buyers in the market compared to catch available for sale, and subsequent reductions in prices and profit margins for fishers and traders.
The prices that fishers and traders are able to get for their fish shapes the incentive structure to invest additional effort into fishing vs. other livelihood options. Fewer fish in the market, as reported by survey respondents, would potentially increase prices and incentivize both fishers and traders to sell their fish more than usual, assuming demand remained stable. Few buyers and excess fish would have the opposite effect on prices. Our survey data does not track fish prices explicitly, though we ask respondents their perceptions of price changes, with the majority of households reporting increases in fish prices in the prior 30 days in every period, and every household reporting fish price increases in at least one period. Electronic Fish Marketing Information System (EFMIS) data on fish species prices around Lake Victoria, including markets proximate to our study area, suggests that prices did not dramatically change, though in some cases the variance increased, but only tilapia prices at Homa Bay market showed a statistically significant increase (Aura et al., 2020).
Food security and nutrition
Figure 6 maps the transitions across food security categories between four time points: March 2020, August 2020, December 2020 and May 2021. It highlights the food security status of households that were severely food insecure (yellow) and moderately or mildly food insecure (purple) in March 2020 to illustrate how they fare over time.
Figure 6

Transitions between food security categories across time.
Most notably, the survey population was highly food insecure in March 2020, with 82% of the sample in the severely food insecure category, with an additional 16% moderately food insecure and the remaining 2% mildly food insecure (Figure 6). No household was classified as food secure in March 2020. During the first significant COVID-19 wave in Kenya in August 2020, the majority of severely food insecure households remained severely food insecure. There is some churning between moderate and severe food insecurity which suggests that though individual conditions changed on the margins, the overall food security landscape was quite poor. By May 2020, only 3% of our sample was food secure, with another 3% mildly food insecure, and the remaining split between moderate and severe food insecurity, suggesting that any improvements in food security were marginal, at best.
The 82% of households experiencing severe food insecurity in March 2020 had, at times in the previous month, no food of any kind in their household, household members who went to sleep hungry or household members who went 24 h without food. Half of these households shifted to the moderate category by the end of the study period. Households experiencing moderate food insecurity report that, in the past month, that they often limited the variety of foods they ate or ate foods they do not want to eat because of lack of resources and they sometimes ate smaller meals or fewer meals because there was not enough food.
In focus group discussions, food insecurity was attributed to limitations on food access due to travel restrictions and social distancing requirements. Even when travel was allowed, it was more expensive due to reduced capacity of vehicles and increased fares. Respondents also reported queues for food, decreased diversity in the market, and food safety concerns related to food aid. All of these factors very likely impeded these already-food-insecure households' ability to improve their status during COVID-19.
While food security status was poor among the study population, households were able to maintain relatively high household dietary diversity scores (HDDS), with an average of 9.2 on the HDDS scale of 1–12, and very little variation across the study period (Supplementary Figure A9). Examining more closely the consumption of different food groups, households are eating cereals and vegetables virtually daily. Households are consuming dairy four times per week, on average, and reported regular consumption of other animal source foods (Supplementary Figure A10, top panel). Fish consumption by species suggests that households consumed fish at least 2 days or more per week, on average (Supplementary Figure A10, bottom panel).
Discussion
Findings from our study make clear that Kenyan fishing households experienced a diverse range of challenges leading to significant degrees of worry about infection with COVID-19 and slightly lower, but still substantial, worry about disease control measures. Even as participants reported worry and expressed stress around the range of challenges they faced (e.g., difficulty reaching markets, school closures), we observed relatively stable fishing participation, fishing effort, market participation, and food insecurity among our survey population of fishers and traders. Across the value chain, of note, food insecurity was stable at a very poor level, while dietary diversity was relatively high. Our study is not able to determine causal effects of COVID-19; for example, flooding that occurred in the study area during April and May of 2020 may have coincided with pandemic effects, thus attributing impacts solely to COVID-19 should be done with caution.
Fishing and marketing activities
Previously reviewed findings on fishing and marketing activities reported greater disruption from COVID-19 than we see in our data. Such prior work tends to focus on the immediate period at the onset of the pandemic, while our survey data does not include fishing and marketing effort prior to June 1, 2020. Therefore, it is possible that the timing of our survey did not capture immediate effects. Among those who continued to fish and trade after the onset of the pandemic, we see stable levels of fishing and trading participation and effort from June 2020 through May 2021, despite fluctuations in movement restrictions, COVID-19 cases, and fatalities. Possible explanations include that fishing and marketing effort drastically declined in the immediate lockdown period and maintained a stable low-level equilibrium during the year of our survey, due to ongoing difficulty and stress associated with COVID-19 infection and containment policies. Fishers and traders reported a suite of diverse strategies to cope during this time, including increasing effort, reducing effort, and adjusting working hours in other ways to avoid curfews. Other fishers may have left fishing between the onset of the COVID-19 pandemic and our fishing activities data collection in June 2020. Further research unpacking the diversity of livelihood adjustments, including diversification and/or shifts away from fish-related livelihoods, is needed.
Both fishers and traders reported reduced quantity of fish caught and traded relative to the same time period in the previous year. This is consistent with other work in Kenya (Aura et al., 2020; Lau et al., 2021) and beyond (Waiho et al., 2020; Grillo-Núñez et al., 2021; Hoque et al., 2021) where trading and marketing disruptions were widely reported. However, in contrast to prior findings about the early phases of the pandemic, our survey data do not indicate that fishers or traders were struggling to find marketing opportunities for their fish. Both fishers and traders in our survey reported selling more and consuming less of their products than usual and limited or no spoilage due to lack of market opportunities.
Reports on fish prices were variable and contradictory in our data. Household food managers, who were explicitly chosen as the survey respondents, consistently reported increases in fish prices in the context of a series of survey questions about the prices of food items. Given the context and the nature of the respondent, we might assume this reflects the price a consumer pays at the market rather than the price a producer receives. High consumer prices would suggest that market conditions favored producers, who would also be receiving higher prices when selling their fish to middlemen or consumers. Why fishers and traders reported receiving lower prices for their fish in focus group discussions, while consumers reported higher prices, remains unclear. However, diverse price responses in a setting where market integration is hampered by COVID-19 restrictions, and other pre-existing factors, are not surprising. In a separate study that combined focus group discussions with systematically collected market (consumer) price data from the region, similar contradictions emerged (Aura et al., 2020). Fishers and traders from our sample may be accessing very different markets, having varying experiences and/or interpreting their experiences differently, based on their own economic woes. Further, actors across the value chain are likely to have different experiences of pandemic disease control measures impacts.
Food security and nutrition
Elsewhere in Kenya, increases in food insecurity were reported during the COVID-19 pandemic but our study population was more food insecure before the pandemic (e.g., Kansiime et al., 2021; Tabe-Ojong et al., 2022). For comparison, an online survey reported 6% prevalence of severe food insecurity prior to COVID-19, which increased to 26% during the pandemic, though remained far below the baseline food insecurity of our study population (Kansiime et al., 2021). Another phone survey conducted during the early part of the pandemic the in Baringo county in Kenya reported a 90.5% prevalence of household food insecurity, although pre-pandemic rates were not stated (Tabe-Ojong et al., 2022). Food insecurity rates in our study population during the COVID-19 pandemic are notably higher than during previous crises: in the years following the 2007/2008 post-election violence in Kenya, which killed more than 1,300 people and displaced over 600,000 people (Kamungi, 2009), 72% of internally displaced households were severely food insecure (Singh et al., 2015). Similarly, in the 11–20 months following the Ebola outbreak in Sierra Leone, people quarantined due to exposure to the virus experienced high food insecurity rates (87%) (Kelly et al., 2018). However, the rates of food insecurity found within our study communities compare to urban slums, where 85% of households were food insecure, 50% being in the severe food insecurity category (Kimani-Murage et al., 2014) and among women (97%) living in the Kisumu district (Gewa et al., 2012). Factors that may have contributed to the high prevalence of severe food insecurity at baseline in our study include the ongoing challenges and marginalization facing small-scale fishing communities and co-occurrence of extreme flooding events around Lake Victoria (Aura et al., 2020). In addition, the closure of schools is likely to undermine food security as many children lost the benefit of receiving free meals in school (Douglas et al., 2020). Finally, despite the relative stability in the experience of food insecurity, the timing, intensity, and duration of food insecurity experienced may shape household outcomes (Milner et al., 2017).
Despite troublingly high food insecurity, household dietary diversity scores (HDDS) were relatively high and remained stable throughout the study period, indicating access to diverse foods. Most frequently consumed food groups include cereals and vegetables (Supplementary Figure A10), which was not surprising given the cereal-based staple, ugali, is frequently consumed alongside vegetables in this region (Nguyen et al., 2013; Workicho et al., 2016; Kansiime et al., 2021). The proportion that reported consuming animal source foods, particularly fish, was high and stable throughout the study period which is also expected given the focus on fishing communities. Other nutrient dense foods such as meat, eggs and fruits were less frequently consumed (less than 3 days a week), although consumption was stable throughout the study period. While household dietary diversity scores do not indicate nutrient adequacy of individual household members, high dietary diversity scores are generally indicative of improved food access and a more diversified diet (Swindale and Bilinsky, 2006).
The disjoint between food insecurity and household dietary diversity is unexpected as increases in dietary diversity have been associated with household food security (Singh et al., 2020; Nabuuma et al., 2021). It is possible that while households in our study had access to diverse food, they adopted coping strategies such as reduction in meal portions or skipping meals, which have a dramatic negative effect on food security as measured by the HFIAS. Indeed, the most commonly reported coping strategy among our sample was reduction in meal portions, with 24% of households reducing meal size for adults so that children can eat “always” or “often” in the previous month, and 20% of households reducing meal size for all members. Only 16% of households reported never reducing portion sizes in the prior month. The meals available to households may have been relatively diverse, despite these reduced portion sizes.
Study strengths and limitations
Our study had several strengths. First, we recorded a high survey response rate during a time of uncertainty. We were able to reach 98% of our target sample at follow up. We attribute this to the rapport that the enumerators developed with the participants and community leaders during the initial survey in March 2020. Second, our longitudinal study design enabled us to collect data from the same participants over a 1-year period during the pandemic, allowing us to examine changes in outcomes over time rather than at a single moment.
We recognize two limitations of our study. First, unlike the baseline survey where interviews were conducted in-person at home, the follow-up interviews were conducted on phone to minimize the risk of exposure to COVID-19 through face-to-face interactions. Potential limitations of phone interviews include absence of visual cues, lack of network coverage for some participants, or low response rates due to participant's unwillingness to answer phone numbers they are not familiar with. Our experience is consistent with evidence that suggests that these limitations can be managed where in-person contact has taken place prior to phone interviews (Dillon, 2012). Second, we only conducted three FGDs in total at a single point in time, after the survey period had concluded. We recognize that more FGDs throughout the study period would have yielded richer information, had fieldwork been possible during the study period. The FGD discussion questions were retrospective and generated information that allowed for triangulation and a better understanding of the experiences of the study communities.
Conclusion
COVID-19 is a multivariate, global shock with diverse, localized effects. While it is difficult to disentangle the effects directly, attempting to understand how the pandemic is affecting small scale fisheries and the communities they support is critical for safeguarding their welfare, for protecting fish supply and for improving the resilience of fishery systems and its players. Overall, our findings suggest persistent multifold worry about COVID-19 infection and the impact of disease control measures on household's livelihood. In spite of these worries, and contrary to what has been reported in the published literature regarding impacts observed in the early months of the pandemic, we see stable participation in fishing and fish trading over time in our Kenyan population. This suggests that Kenyan households adopted diverse strategies to cope and to maintain some form of balance between generating income to provide for their families and staying safe. Further investigations are needed to understand these strategies as well as the livelihood portfolios of these households. porfolios of these households (Fiorella et al., 2020).
Our findings also suggest diverse marketing experiences among our sample. Although respondents reported some difficulties, there were signs that some markets were functioning well, and fishers and traders were finding opportunities to market their fish. Lastly, our findings suggest pre-existing extremely low food security among our study sample. Any potential to improve food security has been hampered by COVID-19 difficulties, particularly impacts on income. Understanding the food insecurity context that people are facing during a crisis such as the COVID-19 pandemic is vital to balance measures to mitigate the impact of the pandemic against food security needs. In response to a widespread crisis like the COVID-19 pandemic, timely and situationally appropriate responses are needed to mitigate the acute impact of the crisis on food security, especially among the chronically poor. Programs such as cash transfers, food assistance, and other government investments are vital and it is important that they reach the people who need it the most. Additionally, building the capacities of households and communities so that they are able to deal with adverse events is critically important to bolstering household resilience in the face of shocks.
While COVID-19 represents one type of crisis, it highlights the vulnerability and/or resilience of fishing communities to shocks. Food insecurity was generally high before and during the pandemic. However, contrary to what we expected, a subset of households moved from severe to moderate food insecurity by the end of the 12-month follow-up. Further research is needed to understand this potential resilience and the policies that can be put in place to amplify it. Further, effects of the pandemic are likely heterogeneous across the diverse global small-scale fishing communities and future studies are needed to understand how reported early impacts played out over time.
Statements
Data availability statement
The raw data supporting the conclusions of this article will be made available by the authors, without undue reservation.
Ethics statement
The study protocol was reviewed and approved by the Cornell University Institutional Review Board and our partner organization the Kenya Marine and Fisheries Research Institute. Written informed consent for participation was not required for this study in accordance with the national legislation and the institutional requirements.
Author contributions
HO, EB, JB, HOO, CA, and KF contributed to the conception and design of the paper. HOO, HO, and CA collected data. EB and HO conducted data analysis and visualization. JB lead literature search and review and managed references. KF, EB, HO, and JB jointly wrote first draft of manuscript, after which all authors contributed to revisions. All authors contributed to the article and approved the submitted version.
Funding
This research was funded by an COVID-19 Rapid Response and an Academic Venture Fund Award from the Cornell Atkinson Center.
Conflict of interest
The authors declare that the research was conducted in the absence of any commercial or financial relationships that could be construed as a potential conflict of interest.
Publisher’s note
All claims expressed in this article are solely those of the authors and do not necessarily represent those of their affiliated organizations, or those of the publisher, the editors and the reviewers. Any product that may be evaluated in this article, or claim that may be made by its manufacturer, is not guaranteed or endorsed by the publisher.
Supplementary material
The Supplementary Material for this article can be found online at: https://www.frontiersin.org/articles/10.3389/fsufs.2022.987924/full#supplementary-material
References
1
Aura C. M. Nyamweya C. S. Odoli C. O. Owiti H. Njiru J. M. Otuo P. W. et al . (2020). Consequences of calamities and their management: The case of COVID-19 pandemic and flooding on inland capture fisheries in Kenya. J. Great Lakes Res.46, 1767–1775. 10.1016/j.jglr.2020.09.007
2
Avtar R. Singh D. Umarhadi D. A. Yunus A. P. Misra P. Desai P. N. et al . (2021). Impact of COVID-19 lockdown on the fisheries sector: a case study from three harbors in Western India. Remote Sensing13, 183. 10.3390/rs13020183
3
Bassett H. R. Lau J. Giordano C. Suri S. K. Advani S. Sharan S. et al . (2021). Preliminary lessons from COVID-19 disruptions of small-scale fishery supply chains. World Dev.143, 105473. 10.1016/j.worlddev.2021.105473
4
Campbell S. J. Jakub R. Valdivia A. Setiawan H. Setiawan A. Cox C. et al . (2021). Immediate impact of COVID-19 across tropical small-scale fishing communities. Ocean Coast. Manage.200, 105485. 10.1016/j.ocecoaman.2020.105485
5
Coates J. Swindale A. Bilinsky P. (2007). Household Food Insecurity Access Scale (HFIAS) for Measurement of Food Access: Indicator Guide. Washington, DC: Food and Nutrition Technical Assistance Project. 10.1037/e576842013-001
6
Coll M. Ortega-Cerdà M. Mascarell-Rocher Y. (2021). Ecological and economic effects of COVID-19 in marine fisheries from the Northwestern Mediterranean Sea. Biol. Conserv.255, 108997. 10.1016/j.biocon.2021.108997
7
Coro G. Ellenbroek A. Pagano P. (2021). An Open Science approach to infer fishing activity pressure on stocks and biodiversity from vessel tracking data. Ecol. Inform.64, 101384. 10.1016/j.ecoinf.2021.101384
8
Dillon B. (2012). Using mobile phones to collect panel data in developing countries. J. Int. Dev.24, 518–527. 10.1002/jid.1771
9
Dixon L. B. Winkleby M. A. Radimer K. L. (2001). Dietary intakes and serum nutrients differ between adults from food-insufficient and food-sufficient families: third national health and nutrition examination survey, 1988–1994. J. Nutr.131, 1232–1246. 10.1093/jn/131.4.1232
10
Douglas M. Katikireddi S. V. Taulbut M. McKee M. McCartney G. (2020). Mitigating the wider health effects of covid-19 pandemic response. BMJ m1557. 10.1136/bmj.m1557
11
Ferguson C. E. Tuxson T. Mangubhai S. Jupiter S. Govan H. Bonito V. et al . (2022). Local practices and production confer resilience to rural Pacific food systems during the COVID-19 pandemic. Marine Policy137, 104954. 10.1016/j.marpol.2022.104954
12
Fiorella K. J. Bageant E. R. Mojica L. Obuya J. A. Ochieng J. Olela P. et al . (2021). Small-scale fishing households facing COVID-19: the case of Lake Victoria, Kenya. Fish. Res.237, 105856. 10.1016/j.fishres.2020.105856
13
Fiorella K. J. Coffin-Schmitt J. Gaynor K. M. Gregory G. H. Rasolofoson R. Seto K. L. (2020). Feedbacks from human health to household reliance on natural resources during the COVID-19 pandemic. Lancet Planet Health. 4, e441–e442. 10.1016/S2542-5196(20)30199-6
14
Gewa C. A. Oguttu M. Yandell N. S. (2012). Maternal nutrition in rural Kenya: health and socio-demographic determinants and its association with child nutrition. Matern. Child Nutr.8, 275–286. 10.1111/j.1740-8709.2011.00322.x
15
Grillo-Núñez J. Mendo T. Gozzer-Wuest R. Mendo J. (2021). Impacts of COVID-19 on the value chain of the hake small scale fishery in northern Peru. Marine Policy134, 104808. 10.1016/j.marpol.2021.104808
16
Guerra-Marrero A. Couce-Montero L. Jiménez-Alvarado D. Espino-Ruano A. Núñez-González R. Sarmiento-Lezcano A. et al . (2021). Preliminary assessment of the impact of Covid-19 Pandemic in the small-scale and recreational fisheries of the Canary Islands. Marine Policy133, 104712. 10.1016/j.marpol.2021.104712
17
He B. Yan F. Yu H. Su F. Lyne V. Cui Y. et al . (2021). Global fisheries responses to culture, policy and COVID-19 from 2017 to 2020. Remote Sensing13, 4507. 10.3390/rs13224507
18
Higgs N. D. (2021). Impact of the the COVID-19 pandemic on a queen conch (Aliger gigas) fishery in The Bahamas. PeerJ9, e11924. 10.7717/peerj.11924
19
Hirvonen K. Brauw A. Abate G. T. (2021). Food consumption and food security during the COVID-19 pandemic in Addis Ababa. Am. J. Agric. Econ.103, 772–789. 10.1111/ajae.12206
20
Hoque M. S. Bygvraa D. A. Pike K. Hasan M. M. Rahman M. A. Akter S. et al . (2021). Knowledge, practice, and economic impacts of COVID-19 on small-scale coastal fishing communities in Bangladesh: policy recommendations for improved livelihoods. Mar. Policy131, 104647. 10.1016/j.marpol.2021.104647
21
Hromi-Fiedler A. Bermúdez-Millán A. Segura-Pérez S. Pérez-Escamilla R. (2011). Household food insecurity is associated with depressive symptoms among low-income pregnant Latinas. Matern. Child Nutr.7, 421–430. 10.1111/j.1740-8709.2010.00266.x
22
Jamwal A. Phulia V. (2021). Multisectoral one health approach to make aquaculture and fisheries resilient to a future pandemic-like situation. Fish and Fisheries22, 449–463. 10.1111/faf.12531
23
Kamungi P. M. (2009). The politics of displacement in multiparty Kenya. J. Contempor. Afr. Stud.27, 345–364. 10.1080/02589000903166713
24
Kansiime M. K. Tambo J. A. Mugambi I. Bundi M. Kara A. Owuor C. et al . (2021). COVID-19 implications on household income and food security in Kenya and Uganda: findings from a rapid assessment. World Dev.137, 105199. 10.1016/j.worlddev.2020.105199
25
Kelly J. D. Richardson E. T. Drasher M. Barrie M. B. Karku S. Kamara M. et al . (2018). Food Insecurity as a Risk Factor for Outcomes Related to Ebola Virus Disease in Kono District, Sierra Leone: a cross-sectional study. Am. J. Trop. Med. Hyg.98, 1484–1488. 10.4269/ajtmh.17-0820
26
Kent K. Murray S. Penrose B. Auckland S. Visentin D. Godrich S. et al . (2020). Prevalence and socio-demographic predictors of food insecurity in Australia during the COVID-19 pandemic. Nutrients 12. 10.3390/nu12092682
27
Kenyatta U. (2020). The Thirteenth Presidential Address On The Coronavirus Pandemic. Wednesday 4th November, 2020 at State House, Nairobi. Statements and Speeches.
28
Kenyatta U. (2021). The Fourteenth Presidential Address on the Coronavirus Pandemic. Wednesday 4th November, 2020 at State House, Nairobi.
29
Kimani-Murage E. W. Schofield L. Wekesah F. Mohamed S. Mberu B. Ettarh R. et al . (2014). Vulnerability to food insecurity in urban slums: experiences from Nairobi, Kenya. J. Urban Health91, 1098–1113. 10.1007/s11524-014-9894-3
30
Knight C. J. Burnham T. L. U. Mansfield E. J. Crowder L. B. Micheli F. (2020). COVID-19 reveals vulnerability of small-scale fisheries to global market systems. The Lancet Planetary Health4, e219. 10.1016/S2542-5196(20)30128-5
31
Lau J. Sutcliffe S. Barnes M. Mbaru E. Muly I. Muthiga N. et al . (2021). COVID-19 impacts on coastal communities in Kenya. Marine policy134, 104803. 10.1016/j.marpol.2021.104803
32
Loopstra R. (2020). Vulnerability to Food Insecurity Since the COVID-19 Lockdown. London: The Food Foundation.
33
Love D. C. Allison E. H. Asche F. Belton B. Cottrell R. S. Froehlich H. E. et al . (2021). Emerging COVID-19 impacts, responses, and lessons for building resilience in the seafood system. Global Food Secur.28, 100494. 10.1016/j.gfs.2021.100494
34
Mangubhai S. Nand Y. Reddy C. Jagadish A. (2021). Politics of vulnerability: impacts of COVID-19 and Cyclone Harold on Indo-Fijians engaged in small-scale fisheries. Environ. Sci. Policy120, 195–203. 10.1016/j.envsci.2021.03.003
35
Manlosa A. O. Hornidge A.-K. Schlüter A. (2021). Aquaculture-capture fisheries nexus under Covid-19: impacts, diversity, and social-ecological resilience. Maritime Stud.20, 75–85. 10.1007/s40152-021-00213-6
36
Milner E. M. Fiorella K. J. Mattah B. J. Bukusi E. Fernald L. C. H. (2017). Timing, intensity, and duration of household food insecurity are associated with early childhood development in Kenya. Matern. Child Nutr. 14, e12543. 10.1111/mcn.12543
37
Ministry of Health . (2020a). COVID-19 Outbreak in Kenya Daily Situation Report–81. Ministry of Health.
38
Ministry of Health . (2020b). COVID-19 Outbreak in Kenya Daily Situation Report–132. Ministry of Health.
39
Nabuuma D. Ekesa B. Faber M. Mbhenyane X. (2021). Community perspectives on food security and dietary diversity among rural smallholder farmers: a qualitative study in central Uganda. J. Agric. Food Res.5, 100183. 10.1016/j.jafr.2021.100183
40
Nagata J. Fiorella K. J. Young S. L. Otieno O. D. Kapule I. Bukusi E. A. et al . (2013). Socio-demographic and health associations with body mass index at the time of enrollment in HIV care in Nyanza Province, Kenya. AIDS Care. 25, 1491–1498. 10.1080/09540121.2013.775399
41
Nagata J. M. Fiorella K. J. Salmen C. R. Hickey M. D. Mattah B. Magerenge R. et al . (2015). Around the table: Food insecurity, socioeconomic status, and instrumental social support among women living in a rural kenyan island community. Ecol. Food Nutr. 54, 358–369. 10.1080/03670244.2014.995790
42
Nagata J. M. Palar K. Gooding H. C. Garber A. K. Bibbins-Domingo K. Weiser S. D. et al . (2019). Food insecurity and chronic disease in US young adults: findings from the national longitudinal study of adolescent to adult health. J. Gen. Intern. Med.34, 2756–2762. 10.1007/s11606-019-05317-8
43
Nguyen P. H. Avula R. Ruel M. T. Saha K. K. Ali D. Tran L. M. et al . (2013). Maternal and child dietary diversity are associated in Bangladesh, Vietnam, and Ethiopia. J. Nutr.143, 1176–1183. 10.3945/jn.112.172247
44
Niles M. T. Bertmann F. Belarmino E. H. Wentworth T. Biehl E. Neff R. et al . (2020). The early food insecurity impacts of COVID-19. Nutrients 12. 10.3390/nu12072096
45
Park C. Y. Eicher-Miller H. A. (2014). Iron deficiency is associated with food insecurity in pregnant females in the United States: National Health and Nutrition Examination Survey 1999-2010. J. Acad. Nutr. Diet.114, 1967–1973. 10.1016/j.jand.2014.04.025
46
Picchioni F. Goulao L. F. Roberfroid D. (2021a). The impact of COVID-19 on diet quality, food security and nutrition in low and middle income countries: a systematic review of the evidence. Clin. Nutr.41:2955–2964. 10.1016/j.clnu.2021.08.015
47
Picchioni F. Po J. Y. T. Forsythe L. (2021b). Strengthening resilience in response to COVID-19: a call to integrate social reproduction in sustainable food systems. Can. J. Dev. Stud. / Revue canadienne d'études du développement42, 28–36. 10.1080/02255189.2020.1858761
48
Rosado C. Kurniati E. Peck M. (2022). “Resilience of small-scale fisheries to COVID-19: a case study from North Bali, Indonesia,” in Financial Crises, Poverty and Environmental Sustainability: Challenges in the Context of the SDGs and Covid-19 Recovery (Springer), 137–154. 10.1007/978-3-030-87417-9_10
49
Ruel M. T. (2003). Is dietary diversity an indicator of food security or dietary quality? A review of measurement issues and research needs. Food Nutr. Bull.24, 231–232. 10.1177/156482650302400217
50
Russo E. Anelli Monti M. Toninato G. Silvestri C. Raffaetà A. Pranovi F. et al . (2021). Lockdown: how the COVID-19 pandemic affected the fishing activities in the Adriatic Sea (Central Mediterranean Sea). Front. Marine Sci. 8. 10.3389/fmars.2021.685808
51
Seligman H. K. Bindman A. B. Vittinghoff E. Kanaya A. M. Kushel M. B. (2007). Food insecurity is associated with diabetes mellitus: results from the National Health Examination and Nutrition Examination Survey (NHANES) 1999-2002. J. Gen. Intern. Med.22, 1018–1023. 10.1007/s11606-007-0192-6
52
Seligman H. K. Laraia B. A. Kushel M. B. (2010). Food insecurity is associated with chronic disease among low-income NHANES participants. J. Nutr.140, 304–310. 10.3945/jn.109.112573
53
Short R. E. Gelcich S. Little D. C. Micheli F. Allison E. H. Basurto X. et al . (2021). Harnessing the diversity of small-scale actors is key to the future of aquatic food systems. Nat. Food2, 733–741. 10.1038/s43016-021-00363-0
54
Singh D. R. Ghimire S. Upadhayay S. R. Singh S. Ghimire U. (2020). Food insecurity and dietary diversity among lactating mothers in the urban municipality in the mountains of Nepal. PLoS ONE15, e0227873. 10.1371/journal.pone.0227873
55
Singh K. P. Bhoopathy S. V. Worth H. Seale H. Richmond R. L. (2015). Nutrition among men and household food security in an internally displaced persons camp in Kenya. Public Health Nutr.19, 723–731. 10.1017/S1368980015001275
56
Sowman M. Sunde J. Pereira T. Snow B. Mbatha P. James A. et al . (2021). Unmasking governance failures: the impact of COVID-19 on small-scale fishing communities in South Africa. Marine Policy133, 104713. 10.1016/j.marpol.2021.104713
57
Stokes G. L. Lynch A. J. Lowe B. S. Funge-Smith S. Valbo-Jørgensen J. Smidt S. J. (2020). COVID-19 pandemic impacts on global inland fisheries. Proc. Nat. Acad. Sci.117, 29419–29421. 10.1073/pnas.2014016117
58
Swindale A. Bilinsky P. (2006). Household Dietary Diversity Score (HDDS) for Measurement of Household Food Access: Indicator Guide Food and Nutrition Technical Assistance Project. Washington, DC: Academy for Educational Development.
59
Tabe-Ojong M. P. Jr. Gebrekidan B. H. Nshakira-Rukundo E. Börner J. Heckelei T. (2022). COVID-19 in rural Africa: food access disruptions, food insecurity and coping strategies in Kenya, Namibia, and Tanzania. Agric. Econ.53:719–738. 10.1111/agec.12709
60
Upton J. Tennant E. Fiorella K. J. Barrett C. B. (2022). “Covid-19, household resilience, and rural food systems: evidence from southern and eastern Africa,” forthcoming in Resilience and Food Security in a Food Systems Context, eds. Béné, Christophe and Stephen Devereux.
61
Waiho K. Fazhan H. Ishak S. D. Kasan N. A. Liew H. J. Norainy M. H. et al . (2020). Potential impacts of COVID-19 on the aquaculture sector of Malaysia and its coping strategies. Aquacult. Rep.18, 100450. 10.1016/j.aqrep.2020.100450
62
White E. R. Froehlich H. E. Gephart J. A. Cottrell R. S. Branch T. A. Agrawal Bejarano R. et al . (2021). Early effects of COVID-19 on US fisheries and seafood consumption. Fish and Fisheries22, 232–239. 10.1111/faf.12525
63
Workicho A. Belachew T. Feyissa G. T. Wondafrash B. Lachat C. Verstraeten R. et al . (2016). Household dietary diversity and animal source food consumption in Ethiopia: evidence from the 2011 welfare monitoring survey. BMC Public Health16, 1192. 10.1186/s12889-016-3861-8
Summary
Keywords
small-scale fisheries, food security, coping strategies, vulnerability, global nutrition, Lake Victoria, policy
Citation
Okronipa H, Bageant ER, Baez J, Onyango HO, Aura CM and Fiorella KJ (2023) COVID-19 experiences of small-scale fishing households: The case of Lake Victoria, Kenya. Front. Sustain. Food Syst. 6:987924. doi: 10.3389/fsufs.2022.987924
Received
06 July 2022
Accepted
20 December 2022
Published
03 February 2023
Volume
6 - 2022
Edited by
Edward Hugh Allison, WorldFish, Malaysia
Reviewed by
Ingrid Kelling, Heriot-Watt University, United Kingdom; Douglas Taren, University of Arizona, United States
Updates
Copyright
© 2023 Okronipa, Bageant, Baez, Onyango, Aura and Fiorella.
This is an open-access article distributed under the terms of the Creative Commons Attribution License (CC BY). The use, distribution or reproduction in other forums is permitted, provided the original author(s) and the copyright owner(s) are credited and that the original publication in this journal is cited, in accordance with accepted academic practice. No use, distribution or reproduction is permitted which does not comply with these terms.
*Correspondence: Elizabeth R. Bageant ✉ erb32@cornell.eduKathryn Joan Fiorella ✉ kfiorella@cornell.edu
This article was submitted to Aquatic Foods, a section of the journal Frontiers in Sustainable Food Systems
Disclaimer
All claims expressed in this article are solely those of the authors and do not necessarily represent those of their affiliated organizations, or those of the publisher, the editors and the reviewers. Any product that may be evaluated in this article or claim that may be made by its manufacturer is not guaranteed or endorsed by the publisher.