- 1Unità di Neuroscienze, Dipartimento di Medicina e Chirurgia (DiMeC), Università di Parma, Parma, Italy
- 2Faculty of Environmental and Life Sciences, School of Psychology, University of Southampton, Southampton, United Kingdom
Using conceptual tools from semiotics, proxemics, and sensorimotor neuroscience, we propose a duplex model for understanding selfies as non-verbal communication involving an interplay between two layers of interaction: human—media (semiotically primary) and human—human (secondary). We suggest that this approach has promise as a tool for understanding this newborn form of human social behavior and its social, psychological, and neural underpinnings. To support our claim, we do several things. We offer a definition of selfies and outline our model. We review the existing literature on selfies as non-verbal communication to show that there is evidence bearing on our theoretical framework. We present a case study documenting how a combination of image analysis and kinematic measurement can be used to compare taker—smartphone interactions during selfie-taking with image features that play a role in the virtual interaction between the selfie-taker and his or her viewers. Our results support the feasibility of our approach and reveal a sex-related effect on the composition of selfies matching a related difference in the kinematic markers that describe the taker—smartphone interaction. Finally, we discuss outstanding questions in understanding selfies as duplex non-verbal communication and conclude by inviting further research on this topic.
Introduction
We live in the age of selfies. This we take as a given—every day thousands of us are taking, storing, and sharing photographic self-portraits for multifarious purposes. According to widespread opinion, the selfie age begun in 2013 AD. In 2013, “selfie” was named word of the year by Oxford Dictionaries, in recognition of dramatic changes in frequency, prominence, and register of the term. Alternative (but equally conventional) dates may be chosen in the vicinity of 2010 AD, when smartphones equipped with front cameras and preview screens became widely available in the context of ever-increasing internet connections worldwide. Thus, it may be stated that this paper was drafted in year 6 or year 9 SA (selfie age). Whatever one's chosen date, there is little doubt that a few years ago a brand new social behavior emerged. As stated by New York Magazine art critic Saltz (2014), selfies “have changed aspects of social interaction, body language, self-awareness…and public behavior.” This is cultural evolution in the making, a unique opportunity for students of the human mind to observe a new form of social interaction at the individual and collective levels.
However, despite their tremendous reach, popularity, and interest, selfies have received relatively little attention by cognitive scientists and especially psychologists. For instance, a large collection of references is available from the Selfie Research Network (http://www.selfieresearchers.com), but these are mostly popular press pieces, sociological analyses, or psychology of art papers only indirectly relevant to selfies. Searching for the keyword “selfie” on Google yields about 400 million hits, but a quick perusal suggests that the majority of these web pages has little scientific content. The same search on the specialist database PubMed yields only about 60 hits, but the bulk of these papers consists of policy commentaries, historical narratives, clinical studies, and health communication applications with limited empirical content. The relatively few papers of interest for the current project may be grouped into three broad categories: studies attempting to connect selfie-related behaviors to personality and motivation (Qiu et al., 2015; Sorokowski et al., 2015; Dhir et al., 2016, 2017; Sorokowska et al., 2016; Sung et al., 2016; Baiocco et al., 2017; Diefenbach and Christoforakos, 2017; Etgar and Amichai-Hamburger, 2017; Karwowski and Brzeski, 2017; Krämer et al., 2017; Musil et al., 2017); studies assessing visual compositional choices for selfies, sometimes in relation to neuropsychological hypotheses (Bruno and Bertamini, 2013; Bruno et al., 2014, 2015, 2017; Lindell, 2017a,b; Manovich et al., 2017; Schneider and Carbon, 2017; Sedgewick et al., 2017; Babic et al., 2018), and theory papers (Frosh, 2015; Senft and Baym, 2015; Eagar and Dann, 2016; Lim, 2016; Carbon, 2017; Kozinets et al., 2017; Bruno et al., 2018). While interesting, these findings and analyses remain scattered and in need of a common theoretical framework. In this paper, we aim at making a first step in this direction.
Based on conceptual tools from semiotics, proxemics, and sensorimotor neuroscience, in this paper we propose a duplex model for understanding selfies. Specifically, we suggest that selfies can be conceptualized as non-verbal communication involving two parallel layers of interaction: human—media and human—human. To this aim, we do several things. We offer a definition of what selfies are and of how they differ from traditional self-portraiture. Within this context, we outline our model. We review the existing evidence bearing on non-verbal communication in selfies. We present a case study documenting how a combination of image analysis and kinematic measurement can be used to compare taker—smartphone interactions during selfie-taking with image features that play a role in the virtual interaction between the selfie-taker and his or her viewers. Our results support the feasibility of our approach and reveal a sex-related difference in selfie composition matching a related difference in user-smartphone interaction. We conclude by discussing outstanding questions in understanding selfies as non-verbal communication via human-media interaction and conclude by inviting further research on this topic.
Selfies: A Definition
We define a “selfie” as an individual self-portrait, taken with a mobile device digital camera by an amateur photographer. Note that this definition excludes group selfies, or “wefies.” These are interesting in their own right [as argued, for instance, by Bruno et al. (2017)]. However, they also bring in additional issues which are best left, in our opinion, for future developments. Note further that our definition does not mention selfie sharing. In this we differ from typical accounts of selfies, which often state that selfies are for sharing on social media. We take this specification as too restrictive. Although many of us take selfies to post them on media such as Facebook, Instagram, Snapchat, or Tinder, equally many selfies are shared only with well-defined individuals (friends, loved ones) using emails, text messages, or chats. Others still may be taken for other purposes, for instance, as a quickly available photo to be placed on a CV or personal website. We believe that a comprehensive theoretical framework is needed for all these kinds of commmunicative behaviors. And note, finally, that our definition excludes self-portraits taken by professional photographers. It has been often claimed that the first selfie was taken by the Philadelphia chemist and early photographer Robert Cornelius in 1839 (Figure 1a). Myriads of photography artists have followed in Cornelius' steps, producing self-portraits that showcased essentially the same composition, or mirror-based variations (Figure 1b). For the reasons that are detailed in the following paragraphs, however, we contend that typical self-portraits by artist photographers should not be labeled as selfies.

Figure 1. (a) In 1839, Philadelphia amateur chemist and photographer Robert Cornelius set his camera up, ran in front of the camera, and stood still for several minutes to take a picture of himself. The picture is widely considered to be the first photographic self-portrait ever taken (sorce: Library of Congress print and photographs division). (b) Italo Zannier (1954) Self-portrait with Semflex 6 × 6 (source: Alinari archives). Both pictures in the public domain.
The issue of the similarities between contemporary selfies and other forms of self-portraiture has been posed before. In media studies, it has been argued that selfies are often similar to portraits found in advertising or public domain image banks (Veum and Undrum, 2018). Perhaps the most striking example of this phenomenon is facial prominence in photographs of males in comparison to females. To our knowledge, Archer et al. (1983) was the first to report that, on average, portraits of men in periodicals, magazines, newspapers, and artworks tend to show more of the face in proportion to the body than portraits of women. This sex-related bias has been confirmed in many other corpora of photographic portraits (discussed in the Case Study section later on in this paper), including online profile pictures (Smith and Cooley, 2012) and, indeed, selfies (Babic et al., 2018). In a similar vein, a recent comparison of painted self-portraits to selfies (Carbon, 2017) stressed common psychological as well as technical constraints suggesting strong parallels. This view is consistent with studies of compositional biases in selfie images. For instance, Bruno et al. (2019) documented a bias for centering one of the eyes horizontally in selfies [but see also Bruno et al. (2014)]. Again, this bias resembles the eye-centering bias reported for traditional painted portraits and self-portraits by Tyler (1998).
These similarities are intriguing, but perhaps to be expected at least from the standpoint of modern approaches to the evolution of technology. Technological evolution unfolds by the modification of artifacts, and modern approaches reveal that apparent upheavals in technology are in fact the outcome of gradual increments and transformations (Basalla, 1998). Cultural adaptations to changes in technology are therefore likely to borrow on previous norms and conventions (Cavalli-Sforza, 1986). Parallels between the composition of selfies and of traditional self-portraits would arise naturally from such long-term processes. We suggest, however, that other considerations underscore differences between selfie-taking and traditional portraiture. Both qualitatively and quantitatively, these differences are large enough to support a sharp distinction.
In our view, two features of selfies set them apart from traditional self-portraiture. The first is that selfies are typically taken with devices equipped with front cameras and preview screens. Previews and front cameras make it easy to explore one's image, chose a pose, and finally take the picture. Very little training is needed, and as many pictures as one desires can be taken quickly and essentially at no cost. None of this was possible with earlier devices lacking these features. Before modern smartphones became available, one had to use shutter timers and make a run for it. One alternative, taking the picture with the front-facing camera at arm's length, gave even less control over the resulting image. Or, as a last resort, one could opt for the most reasonable compromise, taking a picture of one's reflection on a mirror. The second feature is that selfies are eminently shareable due to the increasing availability of internet connections. It is estimated that more than 50% of the world population has internet access today (http://www.internetworldstats.com/stats.htm). At the end of the past century, this percentage was estimated at a mere 1%. The rapid growth of the internet infrastructure spurred the development of social network applications providing accessible media for sharing photographs, including photographic self-portraits. In relation to social behaviors, all of the above has an important consequence: Selfies are first and foremost interactive (Tidenberg, 2018). They afford interpersonal communication to an extent that is qualitatively different from, and quantitatively superior to, traditional self-portraiture (Cruz and Thornham, 2015; Katz and Thomas Crocker, 2016).
Many of us routinely use selfies to start a social interaction, to respond to some else starting it, to chat, flirt, or start a fight. To be sure, some traditional self-portaits may have been painted with similar or related motivations. But in the traditional context, possibilities for interaction were essentially absent, because the creation of the image required sophisticated technical skills as well as complex equipment [consider, for instance, the optical devices that were plausibly used by Rembrandt to create his own self-portraits; O'Neill and Palazzo Corner (2016)] and because of the unavoidable temporal gap between the production of the image and its display for viewing. In contrast, selfies are self-portraits that can be taken by essentially everyone at no cost, and that can be shared freely and quickly within a variety of networks.
Finally, self-expression in selfies is often intended to present a desirable image of oneself according to the context. This may be a professional portal such as LinkedIn, calling for a picture that conveys competence, or social media such as Facebook or Instagram where individuals may get closer to ideal versions of themselves and represent feelings that belong to a more private domain. It is not uncommon for social platforms such as Facebook, Twitter etc., to see photos that show usindividuals in humorous contexts where takers seem unconcerned about making a good impression. In that case, we take a selfie just to have fun and express our feelings at that particular time. The downside is that selfie takers may tend to express mostly positive feelings. We do not usually show signs of sadness or melancholy on the net. Some authors explain this bias by the fact that selfies are a “kind of performance” that prevents us from expressing bad feelings freely (Orekh and Bogomiagkova, 2017). Thus, selfies become a means of expressing facets of ourselves that change according to the receiver.
Theoretical Framework and Duplex Model
In this paper, we set forth a model of selfies as means of interpersonal communication. We set the stage by gathering conceptual tools that are, in our opinon, essential to understand how selfies are taken and used. The first set of such tools is borrowed from semiotics. In semiotic studies, a process of communication is defined as the transmission of some content from a sender to a receiver, by means of a medium in an environment [see e.g., Allwood (2002)]. Within this scheme, a sender has three fundamental ways of conveying his or her intended content: by symbolic, iconic, or indexical information (Peirce, 1902; Nöth, 1990). Symbolic information is information which is related to a referent by social conventions. For instance, in face-to-face interpersonal communication our words function as symbols for their referents. Iconic information is information that relates to a referent due to a similarity in structure. For instance, in face-to-face interpersonal communication our hand gestures may iconically depict the referent of our words. Indexical information, finally, is information that links to a referent by a causal relation. For instance, in face-to-face interpersonal communication our voice quality, our pose, or our facial expressions may convey information about our attitude and feelings with regard to the communicated content. Given that written words or graphical symbols can be included in a picture, it is possible in principle for a selfie to convey symbolic information verbally or non-verbally. We suggest however that the key aspects of communication in selfies are iconic or indexical, that is, non-symbolic and non-verbal.
In selfies, we communicate information about our bodies iconically, as the picture of ourselves iconically represents our appearance; and we communicate information about our mental states indexically, by manipulating the composition of the picture, that is, by varying features of the bidimensional space defined by the picture frame. In our view, it is this last mode of communication that is most interesting, as it maps naturally on how we use space in face-to-face communication while also highlighting how interpersonal communication in selfies actually differs from ordinary interpersonal communication. In face-to-face interactions, individuals control interpersonal distance, body posture, and facial expressions to modulate the quality of the exchange on dimensions such as approach-avoidance, intimacy-social distance, or positive-negative affect. These behaviors are believed to have roots in territorial behaviors by non-human animals (Hediger, 1955; Uexküll von, 1957) and have been codified in detail by Hall (1966) who grouped them under the label of “proxemics.” Proxemics, as the study of how we use space in real life communication, provides the second set of conceptual tools we need to develop our model.
Proxemic space-related behaviors have been investigated extensively (Aiello, 1987; Moore, 2010). For instance, it is known from classic (Middlemist et al., 1976) and more recent (Kennedy et al., 2010; Caruana et al., 2011) work that manipulations of proxemic variables produce measurable psychophysiological responses and involve specific brain structures. Importantly, psychological effects of proxemic manipulations have been shown to generalize to the digital context. In an intriguing study, Yee et al. (2007) studied proxemic behaviors as applied to the avatars of players in Second Life, an online role-playing game. They observed that established proxemic effects on interpersonal distances (for instance, in relation to sex-related differences) and eye gaze generalized to the virtual environment. In selfies, the manipulation of space is limited to the composition of the image, and an actual interpersonal distance cannot be defined. The bidimensional space of the picture, however, provides a reference frame for classifying and measuring different space-related variables such as, for instance, orientations, left-right asymmetries, and relative sizes. Such proxemic features of pictures have been analyzed, for instance, in relation to cinematic techniques for placing characters with respect to the camera. These analyses have suggested that the represented distance between camera and character (long shot to close up) and the camera angle (up-down and laterally) can modulate affective responses to the character by the film audience (Giannetti, 1990), in interaction with the character gaze (Bailenson et al., 2001). We hypothesize that picture-related proxemic variables concur in defining the pose of the selfie-taker with respect with the implied viewpoint, providing indications about, for instance, the distance of the subject from the camera, the elevation of the viewpoint below or above the subject, and its right-left position.
Thus, we propose that selfie-takers actively modulate picture-based proxemics for the purpose of non-verbal communication. The actual process of communication, however, does not involve a direct interaction with another individual. Instead, it involves a direct interaction with one's own image as presented in the digital device used to take the selfie (most typically, a smartphone). This is human—media interaction: Selfie-takers monitor their image on the preview screen, searching for a suitable pose. From a theoretical standpoint, this aspect of the human—media interaction involved in selfie taking affords takers with a degree of control over their self-presentation that was not available with the technologies involved in traditional self-portraiture or, arguably, in painted self-portraits. In semiotics parlance, human—media interaction during selfie taking involves a primary means of expression—it is a form of communication that can be controlled directly by the sender. Crucially, the sender can instantiate this level of communication without expensive equipment, without specific training or significant investments of time and effort, almost continuously and with no time lags. These characteristics of human—media interaction in selfie- taking make it possible for selfies to be also an effective channel also for another form of interaction: The implicit, indirect interaction of the selfie—taker with the intended recipient. This is a form of human—human interaction, but one that involves a secondary means of expression—a form of communication which requires tools to overcome distance or preserve information over time. Readers interested in digging deeper into the primary—secondary distinction in semiotics can consult Allwood (2002). They will be repaid in their efforts by learning that a tertiary means of expression can also be defined, which applies specifically to works of art. Although a more in-depth treatment of this tripartite distinction is outside the scope of this paper, we note that here lies another argument for separating selfies from traditional self-portraiture. More to the point, we argue that the interplay of a primary, human—media, and a secondary, human- human interaction is the key feature of non-verbal communication in selfies (see also Figure 2). This is, in a nutshell, our a duplex model of interpersonal communication in selfies. In our model, this communication is achieved through the interplay of two layers of interaction: a primary human—media interaction and a secondary human—human interaction. In what follows, we provide a proof a concept by describing a case study of how such process may be studied in the laboratory. Before doing this, however, a review of relevant literature is in order.

Figure 2. A duplex model of non-verbal communication in selfies. Self-presentation by a user (U) is communicated to single or multiple recipients (R) through the interplay (double arrow) of two layers of interaction: a primary human-media interaction (solid lines) and a secondary human-human interaction (dashed lines). The human-media interaction is primary in that it can be controlled directly by the user; it can be conceived as a form of sensorimotor exploratory behavior (arrows pointing in both directions) of one's appearance in the smartphone preview screen. The human-human interaction is secondary in that it requires tools to preserve information over space and time; it is a form of indirect communication (dashed arrow) between the user and the recipient(s).
Non-Verbal Communication in Selfies: Selective Review
Consider this quote from a study which interviewed a group of “avid selfie-takers” (Warfield, 2017). A participant named Kelly reported:
I mostly take selfies for my boyfriend. I always take them in the same place in the privacy of my room. I set up the camera on a handle of my dresser that is just at the right angle like eye-level so it would be as if we were facing each other if we were together.
This report nicely illustrates the inspiration for our proposal. Selfies are taken for an intended recipient—In this case, a specific individual. In other cases, the recipient may be the members of a group, possibly some of them unknown, in some cases, even mostly unknown but to some extent identifiable: followers, subscribers, social media “friends.” The taking of the selfie involves a search for a composition of the image which is appropriate for the social interaction one has in mind. This is interpersonal communication, and we suggest that it involves a novel form of proxemics afforded by the manipulation spatial features in the selfie images.
We believe many of us will recall hearing anecdotes similar to Kelly's report, or have introspective experiences that resemble it. But is there empirical evidence, besides the anedoctes, to support our model of interpersonal communication in selfies? In the popular press, this question is often casted in terms of the relationship between personality traits and selfie-related behaviors (Sung et al., 2016; Adler, 2017; Vardeman, 2017; Kaurin et al., 2018). For instance, the frequency of selfie postings has been related to exhibitionism and extraversion (Sorokowska et al., 2016), to emotionality and extraversion (Baiocco et al., 2017), and to histrionic personality scores (Sorokowska et al., 2016). Narcissism has been related to posting frequency (Sorokowski et al., 2015; Weiser, 2015; Lee and Sung, 2016) but has been found to be unrelated to motivations for taking selfies (Etgar and Amichai-Hamburger, 2017) and to attitudes toward selfie-taking (Dutta et al., 2018). These studies are relevant to our inquiry to the extent that they assume that selfie-related behaviors may provide information about selfie-takers. However, they typically attempt to relate personality traits or motivational states to the selfie-takers' online behaviors, as indexed for instance by posting frequency. These analyses, therefore, do not address the issue of information that may be provided by the composition of the selfie images.
In contrast, a recent innovative study by Musil et al. (2017) did attempt to relate features of the composition of selfies (which they called “picture cues”) to personality traits. For instance, they coded features such as head tilt (left, vertical, or right), head pose (three-quarters to the left, frontal, or three-quarters to the right), and facial prominence, and compared them to scores on personality constructs such as narcissism and femininity-masculinity. Their results did not provide evidence for correlations between compositional features and personality. This evidence, however, cannot be considered conclusive. It has been known for a long time that male portraits tend to have larger facial prominence than female (Archer et al., 1983). This is a strong effect that has been replicated by several other studies (Zuckerman, 1986; Copeland, 1989; Dodd et al., 1989; Schwartz and Kurz, 1989; Lammers and Lammers, 1993; Matthews, 2007; Szillis and Stahlberg, 2007; Melkote and Melkote, 2010; Smith and Cooley, 2012; Cheek, 2016; Prieler and Kohlbacher, 2017). Therefore, it is surprising that Musil et al. did not find a correlation between facial prominence and the femininity-masculinity polarity in their study. Given their sample, which compared 126 women to 39 men, it is quite possible that the number of selfies analyzed was too unbalanced to effectively filter out random variation which is likely to be large in an observational study. Supporting this conclusion, two later studies (Babic et al., 2018) using a much larger sample di to find evidence for an overall sex-related difference in selfie facial prominence. In addition, the study by Bruno and collaborators also provided some evidence that facial prominence differs between selfies taken by the same individual, but for different communicative purposes. For instance, they observed that female takers posted selfies with smaller prominence (i.e., showing proportionately more of the body) when posting to an Instagram campaign related to a sports event, in comparison to their profile selfies. In contrast, another group of female takers posted selfies with greater prominence (i.e., showing more of the face), again in comparison to their profiles, when posting to a campaign related to mental health.
In addition to assessing personality traits, Musil et al. also estimated emotional expression (which they called “mood” and scored as negative, positive, and neutral) but found no evidence of correlations with pose choice. However, several studies have documented a bias for three-quarter poses showing the left cheek in selfies (Bruno and Bertamini, 2013; Bruno et al., 2015, 2017; Lindell, 2017a). This bias may be interpreted as a consequence of right hemisphere specialization for the expression of emotions, an hypothesis that has received some support also from studies of portraits in the visual arts (LaBar, 1973; McManus and Humphrey, 1973; Latto, 1996; Nicholls et al., 1999). Supporting this interpretation for selfies, Manovich et al. (2017) found evidence for an overall left-cheek bias, as well as for a left bias in selfies displaying negative emotions, and a right bias for positive emotions. Although this evidence is still too limited to draw a firm conclusion, it seems to run counter the result reported by Musil et al.
Taken together, these findings suggest that facial prominence and pose orientation may be space-related features that are used for communication in selfies. Interestingly, these features are related to the taker's choice of the best camera angle, distance, and elevation as suggested in Kelly's introspective report at the beginning of this section. In another recent study, Sedgewick et al. (2017) tackled this issue directly using a sample of selfies from the mobile dating application Tinder. They asked six raters to code their implied vertical location as above, below, or at the same level relative to the person in the pictures. Their analysis revealed that male selfies were more often coded as suggesting a view from below than from above (38 vs. 17% of their sample), whereas the opposite bias was present in female selfies (26% from above vs. 17% from below). Sedgewick et al. interpreted their observed opposing bias as due to what we would call picture-based proxemic communication. Specifically, they proposed that males may tend to choose lower viewpoints to appear taller and more masculine, whereas females may tend to choose higher viewpoint to appear shorter and more feminine. Said otherwise, Sedgewick and collaborators suggested that viewpoint manipulations provide cues to physical height and power which may be relevant to mate selection from an evolutionary perspective. While this proposal is very much in line with our suggested duplex model, it raises the issue of identifying what these cues might be. We address this issue in the experiment reported in what follows, which used a combination of kinematic measurement and image analysis to determine how female and male selfie takers interact with their smartphone to manipulate spatial features of resulting images for the purpose of communication with a virtual viewer.
Case Study
To explore the feasibility of our model of interpersonal communication in selfies, we performed an exploratory study. Participants were requested to take 10 selfies in conditions that were as natural as possible given the laboratory setting and the kinematics apparatus. During the user-smartphone interaction preceding each selfie, we recorded data about the position of the smartphone relative to the face of the selfie-taker, including positional data at the time of the button press that generates the actual selfie image. We then analyzed spatial features of the saved selfie images and compared them with the kinematics data to understand how the primary user-smartphone interaction modulated picture features that are relevant for communicating information about the selfie taker within the secondary user-user interaction. As a paradigmatic case study of our duplex model, we chose to focus on a robust informative feature, namely, the facial prominence of the self-portrait. As argued in the previous section, there is convincing evidence that facial prominence in portraits and self-portraits, including selfies, reliably differs according to the sex of the represented individual. In our study, we sought to relate this effect to corresponding differences in the way our male and female users interact with their smartphone. Given the exploratory nature of our case study, we did not have specific hypotheses about this relation. However, we did expect to observe three critical results if our approach is feasible to study selfie-taking. The first is that a sex-related difference will be observed in the facial prominence of our laboratory selfies, with males showing, on average, larger prominence than females. The second is that a corresponding sex-related difference should be observed in the form taken by the user-smartphone interaction by males and females (even though we could not predict, a priori, what this might be). The third, finally, is that these two effects will have an interpretable relationship which can be understood as the manifestation of a space-related, or proxemic, communicative intent.
Methods
Participants
Fifty-eight (twenty-eight females and thirty males, aged 22–40 years with a median age equal to 25 years) members of the University of Parma community volunteered. All were right-handed (as determined by asking which hand they used for writing), had no history of neurological impairment, and had taken selfies before (as determined by questioning by the experimenters).
Equipment
Participants were requested to take selfies while sitting on a standard chair (seat height 48 cm), in front a small rectangular (90 × 80 cm) table (height 72 cm). They took the selfies using a Motorola Moto C (2017 model) smartphone, which weighs 154 g and is 15.5 × 73.6 × 9 mm in size. This smartphone is equipped with a 5 inches IPS LCD preview screen (16:9 aspect ratio) with a resolution of 480 × 854 pixels. The front camera is positioned 1 cm to the right of the horizontal center of the display. A plastic support placed on the table within arms' reach of the participant was used to hold the phone at the beginning of each trial. The position of the phone relative to the viewpoint was tracked during each selfie-taking response using a BTS-DX100 Smart motion tracking device (sampling rate 100 Hz, spatial precision at least 0.2 mm with 4 cameras at distances 1–1.5 m from the participant). The system tracked the positions of three markers, placed on the rear camera of the smartphone (at the horizontal center, ~2 cm below the upper edge of the smartphone body), on the tip of the participant's nose, and at a reference point on the table in front of the participant (centrally at 36 cm from the nearmost edge, about 2 cm behind the smartphone support). All selfies were stored on the disk of an iMac desktop computer for further analysis. Image analysis, statistics of motion tracking measurements, data visualization, and modeling were all done using R (R Core Team, 2017).
Procedure
At the beginning of each trial, the smartphone was placed on the support with the preview screen facing down, the long side of the smartphone orthogonal to the direction of view, and the front camera on the left side. To simplify the selfie taking operation, the camera application was started with the front camera option active before beginning the trial. Thus, participants could immediately preview their own image in portrait orientation (long side vertical) after grasping the phone with the right hand and rotating their wrist. To begin each trial, participants positioned their right hand on the table at about 15 cm from the nearmost edge and with the thumb and index fingers in a pincer position (starting position). At this time, a go acoustical signal was presented and participants had to grasp the smartphone and take a selfie. Participants were encouraged to do this as they normally would in everyday conditions, and especially to move the smartphone as they wished to explore different compositions and poses. It was especially stressed that they were free to take as much time as they needed to explore until the obtained image was pleasing to them. Once they felt the image in the preview screen satisfied them, they touched the preview with their right thumb to take the selfie. Having done this, they were required to reposition the smartphone on the support and to bring their hand back to the starting position. Motion tracking started at each new go signal, and terminated each time the smartphone was placed again on the support. Each participant took exactly 10 selfies. Before beginning the experiment, participants received a verbal explanation of the task and were encouraged to take at least 3 selfies to familiarize with the task. During this training phase, motion tracking data and the resulting selfie images were not recorded.
Ethics
The study was performed in accordance with the ethical standards of the Code of Ethical Principles for Medical Research Involving Human Subjects of the World Medical Association (Declaration of Helsinki), with the ethical standards of the Italian Board of Psychologists (see http://www.psy.it/codice_deontologico.html), as well as the Ethical Code for Psychological Research of the Italian Psychological Society (see http://www.aipass.org/node/26). Informed consent was obtained from all participants prior to participation. The selfie images were stored in a completely anonymous fashion in the database used for the data analysis, were used only for the purposes of the study, and not divulged in any other way. As the study did not involve clinical treatments or the use of biomedical equipment with clinical implications, approval from the Parma hospital ethics committee was ruled as unnecessary.
Analysis
Image data were recorded by means of a custom-made R script which allowed a rater to visualize each selfie on a monitor and to mouse-click the positions of the top right and bottom left corners of each photograph, the positions of the top of the head, the center of the right and left eyes, the center of the nose, the right and left corners of the mouth, and the center of the chin. These data were used to produce the descriptive plots which are presented in the Results section. Following Archer et al. (1983), an index of facial prominence was computed by dividing the vertical distance between the top of the head and the center of the chin by the vertical distance between the top of the head and bottom of the image (Figure 3). As such, facial prominence reflects the relative importance given to the face in comparison to the rest of the body in the composition of the picture. Note that this feature should not be confused with ratios of the face, or of the whole body, to the extent of the picture frame. These ratios will change as a function of the distance of the camera from the selfie-taker in images that have constant facial prominence indices.

Figure 3. Facial prominence in the selfies was computed as the f/b ratio, where f is the vertical extent between the top of the head and the chin (vertical extent of the face in the picture), and b is the vertical extent between the top of the head and the bottom of the picture (vertical extent of the whole body in the picture). Note that the facial prominence index reflects the relative importance of the face in comparison to the body, and is not to be confused with the f/p and b/p ratios which depend on the distance of the camera. Selfie image in the public domain (not in our analyzed database, see www.pexels.com/photo-license/).
Kinematics data were recorded as raw text files on the Smart motion tracking system and then analyzed by means of another custom-made R script. Sample data from a typical trial are illustrated in Figure 4. For each selfie by each participant, our analysis script recorded the total duration of the selfie-taking action (time-to-selfie, in seconds); the positions of the smartphone (relative to the reference marker on the table) on the x (horizontal), y (vertical), and z (sagittal) dimensions; the corresponding positions of the taker's nose; the elevation, lateral displacement, and sagittal distance of the smartphone relative to the taker's nose on the y, x, and z axes, respectively, the overall Euclidean distance between the smartphone and the nose, all of these at the time the selfie was taken. The moment in time in which participants pressed the button to take the selfie was estimated from the velocity profiles of the smartphone as the end of the characteristic extended period at near-zero velocity toward the end of the trial recording (see Figure 4, bottom).

Figure 4. Kinematics data from one observer in one representative trial. Dotted line: Position of the reference marker on the table. Red: Position of the smartphone. Blue: position of the participant's nose. Higher values signify positions to the right of the marker (x), higher than the marker (y); or farther away from the marker (z). Note the characteristic extended period at near-zero velocity before the moment of selfie taking (solid lines) on all three dimensions.
Results
The positions of selfie face features recorded for the purpose of this study are summarized in the plot of Figure 5. The plot suggests that, on average, the extent occupied by the face was approximately the same in male and female selfies. However, female faces tended to appear higher up on the image than male. As a consequence, female selfies tended to include a larger part of the body than did male selfies. We might therefore expect that male selfies have greater facial prominence (the f/b ratio, or face-to-body prominence, in Figure 3) than females, but lower body-to-frame prominence (b/p) than females. In contrast, face-to-frame prominence (f/p) should be similar for males and females.

Figure 5. Relative positions of seven features as they appeared in the selfies we collected: the top center of the head, the left and right eyes, the tip of the nose, the left and right corners of the mouth, and the chin. The large solid disks represent grand averages, whereas each small open circle represents one datapoint from one selfie of one observer. All data are color coded to separate male (pale blue) from female selfies (pinkish red). Segments added to highlight the face pattern. Aspect ratio of the plot adjusted to mimic the smartphone preview screen.
These expectations are confirmed by the box-plots in Figure 6, which present distributional information for these three ratios as well-estimates of central tendency (medians) and of their uncertainty (95% confidence intervals around medians). Note that interval estimates do not overlap for the f/b and b/p ratios, suggesting that the differences between the male and female medians are larger than what might be expected from sampling error. Conversely, the corresponding interval estimates are essentially coincident for the b/p ratios.

Figure 6. Assessing the prominence of face and body relative to each other and to the picture frame. The box-plot are distributions of the f/p, b/p, and f/b ratios (as defined in Figure 3) in our collected selfies. The central horizontal lines identify the median of the distribution, whereas the notches locate the limits of 95% confidence intervals around the medians. The top and bottom of the boxes delimit the central 50% of the data, vertical segments stretch to the minimum and maximum, and black circles identify outliers.
Figure 7, left, presents the distributions of the times participants needed to take the selfie (“time-to-selfie”). As is typical of durations, the distributions are asymmetric due to numerous outliers in the positive tail. Interestingly, however, if one neglects the outliers the distributions become fairly symmetric around a median at about 5.5 s. Indeed, more than half of the participants took on average between 4 and 7 s to take the selfie. The minimum time to complete the selfie was around 3 s, with only one participant taking slightly less than that (2.8 s), and nine participants taking between 3 and 4 s. Only three participants took more than 10 s. Thus, these plots are indicative of individual differences in the time used to explore possible poses before taking a selfie. Critically for the purposes of this case study, however, the plots do not suggest that there are sex-related differences on this variable. Males and females, on average, took approximately the same time to complete the task.

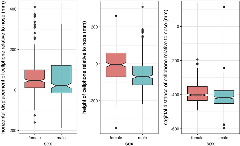
Figure 7. Left: Most selfies by both female and male participants were taken in 4–7 s; selfies taken in more than 10 s were relatively rare. Right: females tended to keep the smartphone closer to their nose than did males.
Figure 7, right, plots the distributions of the Euclidean distances between the nose of the participant and the cellphone, at the time of selfie-taking. In contrast to the time-to-selfie durations, these distances did show a clear sex-related difference in that women kept the cellphone closer to them when taking the selfie than did men. As can be gauged by looking at the confidence intervals around the medians of the male and female distributions, although there is some variability within the male and female groups, the difference between the groups appears to be larger than what one might expect from random error. This finding is important in that it allows us to reject one simplistic account of the sex-related difference in facial prominence of the selfies. We will return to this interpretation of this finding in the Discussion section below.
Figure 8, finally, plots the final positions of the smartphone relative to the nose on the horizontal (x), vertical (y), and sagittal (z) dimensions. As shown by the interval estimates around the group medians, females tended to keep the smartphone slightly more to the right and slightly closer sagittally than did males. Most important for our endeavor in this paper, women showed a strong preference for keeping the smartphone higher up than did males. More precisely, on the average females took their selfies with the smartphone at approximately nose level. Males, in contrast, took their selfies with the smartphone about 80 cm below their nose. As we show in the Discussion section below, these data also allow us to reject candidate accounts of sex differences in selfie facial prominence, supporting a novel explanation of this phenomenon.

Figure 8. Final positions of the smartphone relative to the participant's nose on the x (horizontal), y (vertical), and z (sagittal) axes. Relative positions computed as the phone—nose difference. Thus, the zero points on the vertical axes indicate the position of the nose; positive values on the first plot indicate that the phone was to the right of the nose; on the second plot, that the phone was higher than the nose. On the third plot, larger negative values indicate larger distances. Box-plot conventions as in Figure 5.
Discussion
We interpret the current results within the framework of our proposed duplex model. Selfies are a means of interpersonal communication. They are a non-verbal presentation of the self by the selfie-taker to a potential receiver. Critical to such presentation are features such as, for instance, the depicted facial prominence. These features serve, in the two dimensional space defined by the picture frame, a function which is analogous to the manipulation of spatial relationships and distances in face-to-face non-verbal communication. Thus, this aspect of non-verbal communication in selfies involves an interaction between the selfie taker and one or more receivers, that is, human—human interaction. This interaction however is not direct, as it i requires tools to overcome distance or preserve information over time. It involves what semioticists call a secondary means of expression. And these tools are made available by the digital photography interface on one's own smartphone, and especially by its preview screen. Selfies are taken by interacting with one's smartphone, and one's own image in the preview, through a process of perceptual exploration and exploratory action. This process culminates with the choice of an image and its recording. Thus, this other aspect of non-verbal communication in selfie taking is critically different from the previous one. It involves communication which can be controlled directly by the selfie taker, a primary means of expression. This is, however, human—media interaction. Perceptual exploration of one's own image is made possible by exploratory actions that are carried out by handling the smartphone and its spatial relationship to the selfie-taker, which is also the viewer of the explored preview image. The combination of these two layers of interaction defines how non-verbal communication in selfies takes place. Actually, we did not analyze the kinematics of the interaction with the smartphone. We recorded the final shot that is the latter position of the phone in space preceding the taking of the selfie. However, we believe this to be a reliable indirect measure of object manipulation.
Within the framework of our duplex model, the problem addressed in our case study can be spelled out in the following way. There is a robust difference in the facial prominence of selfies by males and females. This difference has been reported before (Babic et al., 2018) and is readily replicated in the current data. This difference hints at a fundamental sex-related difference in the mode of visual self-presentation by selfie takers to intended recipients. This difference, however, does not emerge in the context of a direct, face-to-face interaction but is instead mediated by the interaction of the selfie taker with the selfie-taking medium. So—how do male and female participants interact with smartphones, and how does this produce a difference in facial prominence? And, critically, what does this tell us about sex-related differences in non-verbal self self-presentation? The data from our case study suggest possible answers to these questions. To see how, consider first an analysis of possible modes of interaction with one's smartphone in selfie-taking, and of their consequences for facial prominence in a selfie.
As can be readily verified by a little exploration with one's own smartphone, there are three main ways of changing the spatial relationship between a user's viewpoint and the camera phone (Figure 9, first three rows) to modify facial prominence on the phone's preview. The first consists in raising or lowering the phone, while keeping its distance and orientation constant. Lowering will include more of the body in the picture, relative to positions where the camera is higher. The second consists in moving the phone closer or farther away from the viewpoint, while keeping height and orientation constant. A closer camera will tend to exclude more of the body whereas a farther camera will tend to include more of it. The third, finally, consists in tilting the phone toward or away from the viewpoint. Relative to a vertical phone, tilting toward the viewpoint will tend to include more of the body, whereas tilting away from the viewpoint will include less of it.

Figure 9. Eight ways to interact with your smartphone (and your own image in its preview screen) while taking a selfie. The left column represents interactions that yield relatively higher facial prominence. The right column, interactions that yield relatively lower prominence. Facial prominence is reduced by lowering the smartphone (first row); increasing its distance from the viewpoint (second); tilting the smartphone toward the viewpoint (third); or by a combination of the above. The configurations shown in the fourth row correspond to the combination that is most consistent with the pattern of our data.
Now consider the possible proxemic interpretations of these three spatial interactions with one's smartphone. The first one modifies the composition of the image to include more, or less, of the trunk while keeping the face essentially unchanged. In this form of interaction, therefore, women selfies have lower facial prominence due to a bias to emphasize the upper body more than men. This bias may depend on several factors. For instance, one such factor may be the tendency to include all the hair in the picture (women typically have long hair, which often extend downwards over the neck and shoulders). Similarly, another such factor may be a tendency to show the bosom. As these factors will essentially provide cues to femininity (or lack thereof), the bias may interpreted as related to visual gender stereotypes. This was precisely the interpretation originally offered for sex differences in the facial prominence of pictures (Archer et al., 1983; Nigro et al., 1988). In the second form of interaction, facial prominence is modulated by distance—assuming that typical selfies include all of the face, the closer the phone the less room remains for including the body. Thus, distance may provide another way to include more or less of the body in the picture, again as consequence of gender stereotyping. Or it may reflect a manipulation of virtual interpersonal distance, which is another aspect of proxemic behavior with well-known sex-related differences (Hall, 1966; Bruno and Muzzolini, 2013). The third possibility, finally, involves modifying the orientation of the phone relative to line of sight, again while keeping other factors constant. In this third form of interaction, prominence is decreased by tilting the phone toward the user. This again provides a way to include more of the body, possibly in combination with a manipulation of perceived head tilt. In a recent paper, Witkower and Tracy (2019) have documented how, other things being equal, head tilt affected social judgments along the dominance-submission dimension of a portrayed individual.
At least in our sample, none of these relatively simple accounts are consistent with the data. In our sample, women tended to keep the phone higher and closer than men, but this resulted in lower facial prominence in the selfies. As readers can verify by looking again at the first two rows of Figure 9, the reduced facial prominence of women selfies were due to mere manipulations of camera height or camera distance, keeping the phone higher or closer should have resulted in higher, not lower prominence. We can also rule out that the sex difference in facial prominence depended solely on the tilt of the phone. Although we could not measure cellphone tilt in the current paradigm as we had only one marker on it, women and men, on average, did not keep the phone at the same height and therefore did not merely change tilt. There is, however, one combination of these three factors that fits our results. This is illustrated in Figure 9, fourth row. In our data, male participants took selfies while keeping, on average, the phone lower than eye level and farther away than did females. In combination with a tilt away from the viewpoint, this mode of interaction with the phone results in a selfie with less of the body in proportion to the face (left). Female participants, in contrast, kept the phone approximately at eye level and closer to the viewpoint than did males. In combination with a tilt toward the viewpoint, this mode of interaction results in a selfie with more of the body in proportion to the face (right).
The above indications are interesting, because they suggest a possible answer to the question posed earlier in this discussion. Specifically, they indicate how the primary interaction of participants with their smartphone generated a difference in facial prominence aimed at the secondary interaction of participants with the potential recipients of the selfies. Males interacted with the smartphone by looking down to the smartphone. Females, conversely, tended to look up or at least at eye level. This resulted in higher facial prominence for males than females. The difference in facial prominence, however, did not stem from interactions aiming at merely showing proportionately more of the female body, as suggested by a gender stereotyping account. Rather, they stemmed from manipulating the vertical orientation of the gaze of the implied recipient. On average, males took selfies that made viewers feel they are looking up to a taller, more physically imposing individual. Females, conversely, took selfies that make viewers feel they are looking straight ahead or perhaps slightly down to an individual of the same height or shorter. Interestingly, this sex-related difference in the implied viewpoint of the selfie is consistent with the difference observed by Sedgewick et al. (2017) in a sample of selfies posted on the online dating application Tinder. Sedgewick et al. asked raters to categorize each selfie as suggesting a view from above or from below and found that male selfies were more often rated to suggest a view from below than females. Female selfies, conversely, were more often rated to suggest a view from above, but this difference was less dramatic than that in the male group.
Given the nature of the social media application where the selfies were posted, Sedgewick et al. interpreted their effect as due to differences in sexual preferences in relation to partner height. It is well-established that Western women consistently report higher attraction to taller men (Pierce, 1996; Courtiol et al., 2010; Stulp et al., 2013; Yancey and Emerson, 2014), whereas men's preferences for shorter women are generally weaker (Pawlowski, 2003; Fink et al., 2007). Our findings suggest that this bias may extend to selfies in general. In addition, and more relevant to our initial question, our findings seem to relate differences in facial prominence of selfies to differences in the vertical orientation of the smartphone in males vs. females. To our knowledge, this is the first data suggesting that these two phenomena may be related. Given the relationship between body height and dominance (Melamed, 1992), these differences in the vertical orientation of the smartphone may reflect a desire to appear attractive to women, or more dominant to men, or both, and may be evolutionary adaptive (Blaker et al., 2013). The female preference for taller males, for example, may signal good genes and the potential to invest in the offspring. The opposite may happen with women. Men find women who are more submissive more attractive than dominant women. Research also shows that tall males are judged as stronger leaders (Blaker et al., 2013). Thus, attraction and power (leadership) both seem to translate into specific kinematics of selfies, specifically in the manipulation of vertical viewpoint.
Conclusions: a Research Manifesto
In conclusion: Somewhere between 10 and seven years ago, a new form of interpersonal communication has gradually begun to emerge, and it represents an unique opportunity to study cultural evolution. We are social animals. When a new modality for communicating ourselves to others non-verbally becomes available, it is perhaps not surprising that we take advantage of it. However, this mode of communication has now evolved into a brand new social behavior, one that we know very little about. Thus, selfies represent an opportunity that does not come often in a scientific career. We live in the selfie age, and research is needed to understand selfie-related social behaviors. The main aim of this paper has been to make a contribution in this direction.
Specifically, in this paper we have attempted to provide a conceptualization of non-verbal communication in selfies, which in our view entails two parallel layers of interaction. We have then shown how our duplex model can be used as a framework for studying selfies empirically. We suggest that the results from our case study of facial prominence provide two main take-home messages. First, they show that our duplex model is viable, and useful, as a framework for designing and analyzing empirical studies on selfies. In this sense, our case study may be regarded as essentially providing a proof of concept. Second, our results provide insights on the mechanisms of communication that may be responsible for a well-known, but still not well-understood, phenomenon of visual communication: the robust difference in facial prominence which is observed when comparing male to female portraits, self-portraits, and selfies. In these concluding remarks, we argue that our model is not only useful and explicatory, but also heuristic. Therefore, we conclude the paper with a list of suggestions for future research. Our suggestion are grouped into three main categories, each corresponding to one aspect of selfies and selfie-taking. We predict that for many of the questions in these three groups there will be published empirical answers by year 20 SA, possibly in the pages of Frontiers, Human—Media Interaction.
Preview-Screen Posing as Sensorimotor Exploration
As we have argued above, the interaction between user and smartphone represents one of the key processes in the act of taking a selfie. This interaction involves monitoring one's own image while one tries out different poses, either by modifying the position of the phone or by changing one's posture, or both. Such monitoring is similar to the familiar experience of checking one's appearance on a mirror, although the optics are not fully equivalent to those of a mirror as the front camera position does not coincide with one's fixation—as it should to simulate a true mirror reflection. However, selfie takers do not seem to be bothered by this feature of their visual interaction with the device. It may be speculated, in fact, that this feature underpins our fascination with our image in the preview, which roughly corresponds to how another individual would see us, if placed at a viewpoint corresponding to the camera position on the smartphone body. What seems to be much more important is that the preview screen is on an hand-held, light device, which makes it easy to change the position of the camera, and therefore the image, instantiating a process of sensorimotor exploration. This spontaneous visual and motor behavior closely resembles what we do naturally whenever we inspect a scene. How it unfolds in time, how variable it is between individuals and selfie-taking conditions, and what neural mechanisms are involved, are empirical questions that have never been addressed, at least to the best of our knowledge, and that may be well-worth studying systematically. Conceptual tools and methods from sensorimotor neuroscience are needed here, and in the Case Study section we have provided an initial proof of concept of how this might be attained. However, much more can be done.
To the best of our knowledge, few studies have investigated the kinematics of smartphone-related actions. Those that have, have been interested mostly on the kinematics of thumb movements during texting (Kim et al., 2014; Gustafsson et al., 2018) and on the biomechanics of smartphone usage as predictors of muscoloskeletal disorders (Eitivipart et al., 2018; Vahedi et al., 2019). In the case study presented here, we limited our inquiry to comparisons of the final recorded selfies to the final positions of the selfie-taker and smartphone. This allowed us to determine how spatial features of the selfie images (such as, in our case, facial prominence) relate to the selfie taker's posture in relation to the selfie-taking device. Although interest in this relation was justified by the nature of our proposed duplex model, our kinematic recordings are richer and more complex than that. As shown in Figure 3, by tracking the trajectories of the smartphone and of the face of the participant over the whole selfie-taking task, we in fact recorded the whole history of the spatial manipulations that occurred during the interactions of participants with the smartphone. These trajectories contain information about the sensorimotor exploration that took place in the period of time between picking up the phone and eventually pressing the button that took the selfie. For instance, they reveal how users moved the phone during the pre-selfie exploration as well as when they stopped this movement, how often they did this, how long they kept the phone stationary in each of these episodes, and so on.
All of these variables could in principle be evaluated to test for sex-related differences or other aspects of interest for non-verbal communication. For instance, as shown in the Results section of our case study, a notable feature of these stopping episodes occurred regularly at the end of the exploration and immediately preceded the taking of the selfie. It may be thus considered a kinematic marker of the aesthetic evaluation that ultimately results in the decision to record the image. Studying its timing, duration, and possible dependence on previous exploratory behavior may provide interesting information on this evaluative and deliberative process. Correlations with measures of muscle activation (EMG) and with indices of autonomic arousal (e.g., heart rate, skin conductance) may also prove informative. In addition, the whole of this data could be compared with the trajectories in 2D of face features on the preview screen during the user—smartphone interaction. Although the images that appear on a smartphone preview screen are not automatically recorded and saved, it is relatively simple to do so by modifying a suitable application. Analyses of rich datasets including these variables may be prove of interest not only to understand the process of selfie-taking, but also as empirical models of aesthetic decisions, aesthetic preferences, and possibly even cognitive processes related to creativity. In addition, we suggest that this type of data may nicely converge with data from psychophysiological paradigms, as shown in the next subsection.
Selfie Taking as Value-based Decisions
The interaction of a selfie-taker with a smartphone culminates with the decision to record the picture, which is hypothesized to depend on motivational factors related to the secondary interaction of the selfie-taker with the implicit recipient or recipients. These factors therefore involve aesthetic as well-communicative evaluations and decisions. At the level of psychophysiological correlates, it is well-established that decision-making involves the continuous accumulation of sensory evidence until a decision criterion is met and an action is executed (Wyart et al., 2012; Polanía et al., 2014). Neural computational models suggest that these computations constitute a domain-general decision mechanism. However, such models have mostly been applied to choices based on objective information about physical properties of sensory stimuli. In other words, they have been studied as a form of perceptual decision making. However, neural models could in principle be applied also to ecologically representative, everyday decisions such as choices based on subjective preferences. These choices may be conceived as a form of value-based decision making. Relevant to this idea, there is evidence that specific modulations of EEG can be observed in signals from different brain areas depending on the type of require decision. This general idea could be easily applied to a different domain of value-based decisions—those involved in selfie-taking.
The visual exploration preceding the decision to record the selfie (done while viewing oneself in the preview screen) can be conceived as a form of accumulation of sensory evidence similar to what happens when a preference has to be expressed. Behavioral and psychophysiological paradigms could therefore be developed to study this process. For instance, while acquiring EEG recordings, participants could be asked to explore views of their face in the smartphone preview and press a button when they find a suitable pose for a selfie. In baseline conditions, participants could be asked to observe their face and then press a button when they feel they have seen enough of their face to either make a paper-and-pencil drawing of their face (motor baseline) or to answer questions about a face feature (verbal memory baseline). To reveal evidence of differential neural processing during selfie-taking (value-based decision) in comparison to the baselines (perceptual-based decisions), a study of this kind could focus on neural oscillations in the gamma-frequency band (neural oscillations at 30–90 Hz), as such signals should carry information related to the synchronous activity of multiple groups of cortical neurons (Polanía et al., 2012). One would predict to observe specific modulations of gamma frequency frontal signals in the selfie-taking condition, but not in the baselines.
Picture-based Proxemics
One of the features of our proposed duplex model is the suggestion that the use of pictorial space within a photographic self-portrait could be interpreted as a form of non-verbal communication, in analogy with the use of proxemic space in real-life interactions. In this, we propose that selfies become vehicles for a new sort of picture-based proxemic behavior. In contrast with real-life proxemics, which imply the direct manipulation of distances in three dimensions, picture-based proxemics involves the manipulation of space-related features in the two-dimensional picture frame. However, just like its real-life counterpart picture-based proxemics serves the purpose of communicating non-verbally. For instance, here we have shown how one such picture-based proxemic feature (facial prominence) may be related to a manipulation of the implied viewpoint and therefore of the relationship between the selfie taker and the recipient of the selfie.
We suggest that other picture-based features may be interpreted within the same conceptual framework. One such feature is the rotation of the face around the vertical axis, which determines whether the portrait pose is frontal or three-quarter, which in turn causes the left or right cheek to be shown more prominently. It has been shown that selfies exhibit a bias for presenting the left cheek to the camera (Bruno and Bertamini, 2013; Bruno et al., 2015, 2017; Lindell, 2017a,b). This bias is similar to the left cheek bias reported for portraits and self-portraits in traditional painted portraits and self-portraits (McManus and Humphrey, 1973; Latto, 1996; Nicholls et al., 1999) as well as photographs (LaBar, 1973). A possible interpretation of this bias originates from a right-hemispheric specialization for the expression of emotions, causing most of us to be more expressive on the left side (Sackeim et al., 1978). In this interpretation, therefore, most self-portraitist as well as selfie-takers unconsciously tend to choose to display their left cheek in the image as they have some unconscious awareness that this is their most expressive side (Nicholls, 2000; Powell and Schirillo, 2009; Lindell, 2013, 2019; Manovich et al., 2017). However, how selfie-takers manipulate head orientation for expressive communication remains a largely unexplored question. Another potential feature is head and body tilt toward one side of the picture, which causes the angle between the axis of symmetry of the face and the line of the shoulders to deviate from 90 degrees. This feature is called canting and has been related to submission (Key, 1975), demand for protection (Morris, 1977), or desire to ingratiate oneself with one's interlocutor (Goffman, 1979). Again, studies of how selfie-takers might manipulate canting are lacking [but see Costa and Ricci-Bitti (2000)], and may provide further insights on non-verbal communication in selfies.
Data Availability Statement
The datasets generated for this study are available on request to the corresponding author.
Ethics Statement
Ethical review and approval was not required for the study on human participants in accordance with the local legislation and institutional requirements. The patients/participants provided their written informed consent to participate in this study.
Author Contributions
ED and NB: conceived the study. NB: theoretical development and first draft. SU, VP, MB, and ED: data collection. NB, SU, VP, MB, and ED: editing and finalizing.
Conflict of Interest
The authors declare that the research was conducted in the absence of any commercial or financial relationships that could be construed as a potential conflict of interest.
References
Adler, N. (2017). Who posts selfies, and why? Personality, attachment style, and mentalization as predictors of selfie posting on social media (Ph.D. thesis). City University of New York, United States.
Aiello, J. R. (1987). “Human spatial behaviour,” in Handbook of Environmental Psychology, eds D. Stokols, and I. Altman. (New York: John Wiley & Sons), 359–504.
Allwood, J. (2002). “Bodily communication dimensions of expression and content,” in Multimodality in Language and Speech Systems, ed B. Granström (Kluwer Academic Publisher), 7–26. doi: 10.1007/978-94-017-2367-1_2
Archer, D., Iritani, B., Kimes, D. D., and Barrios, M. (1983). Face-ism: Five studies of sex differences in facial prominence. J. Pers. Soc. Psychol 45, 725–735. doi: 10.1037/0022-3514.45.4.725
Babic, N. C., Ropert, T., and Musil, B. (2018). Revealing faces: gender and cultural differences in facial prominence of selfies. PLoS ONE 13:e0205893. doi: 10.1371/journal.pone.0205893
Bailenson, J. N., Blascovich, J., Beall, A. C., and Loomis, J. M. (2001). Equilibrium theory revisited: mutual gaze and personal space in virtual environments. Presence 10, 583–598. doi: 10.1162/105474601753272844
Baiocco, R., Chirumbolo, A., Bianchi, D., Ioverno, S., Morelli, M., and Nappa, M. R. (2017). How HEXACO personality traits predict different selfie-posting behaviors among adolescents and young adults. Front. Psychol 7:2080. doi: 10.3389/fpsyg.2016.02080
Blaker, N. M., Rompa, I., Dessing, I. H., Vriend, A. F., Herschberg, C., and van Vugt, M. (2013). The height leadership advantage in men and women: Testing evolutionary psychology predictions about the perceptions of tall leaders. Group Process. Intergroup Relat. 16, 17–27. doi: 10.1177/1368430212437211
Bruno, N., and Bertamini, M. (2013). Self-portraits: smartphones reveal a side bias in non-artists. PLoS ONE 8:e55141. doi: 10.1371/journal.pone.0055141
Bruno, N., Bertamini, M., and Protti, F. (2015). Selfie and the city: a world-wide, large, and ecologically valid database reveals a two-proged side bias in naive self-portraits. PLoS ONE 10:e0124999. doi: 10.1371/journal.pone.0124999
Bruno, N., Bertamini, M., and Tyler, C. W. (2019). Eye centring in selfies posted on Instagram. PLoS ONE 14:e0218663. doi: 10.1371/journal.pone.0218663
Bruno, N., Bode, C., and Bertamini, M. (2017). Composition in portraits: Selfies and wefies reveal similar biases in untrained modern youths and ancient masters. Laterality 22, 279–293. doi: 10.1080/1357650X.2016.1185108
Bruno, N., Gabriele, V., Tasso, T., and Bertamini, M. (2014). 'Selfies' reveal systematic deviations from known principles of photographic composition. Art Percept. 2, 45–58. doi: 10.1163/22134913-00002027
Bruno, N., and Muzzolini, M. (2013). Proxemics reviseed: simliar effects of arm's length on men's an women's personal distance. Univ. J. Psychol. 1, 46–52. doi: 10.13189/ujp.2013.010204
Bruno, N., Pisanski, K., Sorokowska, A., and Sorokowski, P. (2018). Editorial: understanding selfies. Front. Psychol. 9:44. doi: 10.3389/fpsyg.2018.00044
Carbon, C. C. (2017). Universal principles of depicting oneself across the centuries: from renaissance self-portraits to selfie-photographs. Front. Psychol 8:245. doi: 10.3389/fpsyg.2017.00245
Caruana, F., Jezzini, A., Sbriscia Fioretti, B., Rizzolatti, G., and Gallese, V. (2011). Emotional and social behaviors elicited by electrical stimulation of the insula in the macaque monkey. Curr. Biol. 21, 195–199. doi: 10.1016/j.cub.2010.12.042
Cheek, N. N. (2016). Face-ism and objectification in mainstream and LGBT magazines. PLoS ONE 11:e0153592. doi: 10.1371/journal.pone.0153592
Copeland, G. A. (1989). Face-ism and primetime television. J. Broadcast. Electr. Media 33, 209–214. doi: 10.1080/08838158909364075
Costa, M., and Ricci-Bitti, P. E. (2000). Face-ism effect and head canting in one's own and other's photographs. Eur. Psychol. 5, 293–301. doi: 10.1027//1016-9040.5.4.293
Courtiol, A., Raymond, M., Godelle, B., and Ferdy, J. B. (2010). Mate choice and human stature: homogamy as a unified framework for understanding mating preferences. Evolution 64, 2189–2203. doi: 10.1111/j.1558-5646.2010.00985.x
Cruz, E. G., and Thornham, H. (2015). Selfies beyond self-representation: the (theoretical) f (r) ictions of a practice. J. Aesthet. Cult. 7:28073. doi: 10.3402/jac.v7.28073
Dhir, A., Torsheim, T., Pallesen, S., and Andreassen, C. S. (2017). Do online privacy concerns predict selfie behavior among adolescents, young adults and adults. Front. Psychol. 8:815. doi: 10.3389/fpsyg.2017.00815
Dhir, A., Pallesen, S., Torsheim, T., and Andreassen, C. S. (2016). Do age and gender differences exist in selfie-related behaviours? Comput. Hum. Behav 63, 549–555. doi: 10.1016/j.chb.2016.05.053
Diefenbach, S., and Christoforakos, L. (2017). The selfie paradox: nobody seems to like them yet everyone has reasons to take them. An exploration of psychological functions of selfies in self-presentation. Front. Psychol 8:7. doi: 10.3389/fpsyg.2017.00007
Dodd, D. K., Harcar, V., Foerch, B. J., and Anderson, H. T. (1989). Face-ism and facial expressions of women in magazine photos. Psychol. Rec 39, 325–332. doi: 10.1007/BF03395884
Dutta, E., Sharma, P., Shah, N., Bharati, A., Sonavane, S., and Desousa, A. (2018). Attitude toward selfie taking and its relation to body image and narcissism in medical students. Indian J. Psychol. Med. 40, 17–21. doi: 10.4103/IJPSYM.IJPSYM_169_17
Eagar, T., and Dann, S. (2016). Classifying the narrated #selfie: genre typing human-branding activity. Eur. J. Market. 50, 1835–1857. doi: 10.1108/EJM-07-2015-0509
Eitivipart, A. C., Viriyarojanakul, S., and Redhead, L. (2018). Musculoskeletal disorder and pain associated with smartphone use: a systematic review of biomechanical evidence. Hong Kong Physiother. J. 38, 77–90. doi: 10.1142/S1013702518300010
Etgar, S., and Amichai-Hamburger, Y. (2017). Not all selfies look alike: distinct selfie motivations are related to different personality characteristics. Front. Psychol 8:842. doi: 10.3389/fpsyg.2017.00842
Fink, B., Neave, N., Brewer, G., and Pawlowski, B. (2007). Variable preferences for sexual dimorphism in stature (SDS): further evidence for an adjustment in relation to own height. Pers. Individ. Dif. 43, 2249–2257. doi: 10.1016/j.paid.2007.07.014
Frosh, P. (2015). The gestural image: the selfie, photography theory, and kinesthetic sociability. Int. J. Comm. 9, 1607–1628. Available online at: https://ijoc.org/index.php/ijoc/article/view/3146
Gustafsson, E., Coenen, P., Campbell, A., and Straker, K. (2018). Texting with touchscreen and keypad phones - a comparison of thumb kinematics, upper limb muscle activity, exertion, discomfort, and performance. Appl. Ergon. 70, 232–239. doi: 10.1016/j.apergo.2018.03.003
Hediger, H. (1955). Studies of the Psychology and Behaviour of Captive Animals in Zoos and Circuses. London: Butterworths Scientific Publications.
Karwowski, M., and Brzeski, A. (2017). Selfies and the (Creative) self: a diary study. Front. Psychol. 8:172. doi: 10.3389/fpsyg.2017.00172
Katz, J. E., and Thomas Crocker, E. (2016). “Selfies as interpersonal communication,” in In the Beginning Was the Image: The Omnipreence of Pictures, eds A. Benedek and A. Veszelszki (Bern: Peter Lang Editions), 130–134.
Kaurin, A., Lutz, H., Wessa, M., Egloff, B., and HIrschmueller, S. (2018). Selfies reflect actual personality - Just like photos or short videos in standardized lab conditions. J. Res. Pers. 76, 154–164. doi: 10.1016/j.jrp.2018.08.007
Kennedy, D. P., Glascher, J., Tyszka, J. M., and Adolphs, R. (2010). Personal space regulation by the human amygdala. Nat. Neurosci. 12, 1226–1227. doi: 10.1038/nn.2381
Kim, D., Chae, W., Jung, J., and Lee, H. (2014). The effect of smartphone holding techniques on kinematic variables and muscle activities in the thumb during tapping numbers. Korean J. Sport Biomech. 24, 301–308. doi: 10.5103/KJSB.2014.24.3.301
Kozinets, R., Gretzel, U., and Dinhopl, A. (2017). Self in art/self as art: museum selfies as identity work. Front. Psychol. 8:731. doi: 10.3389/fpsyg.2017.00731
Krämer, N. C., Feurstein, M., Kluck, J. P., Meier, Y., Rother, M., and Winter, S. (2017). Beware of selfies: the impact of photo type on impression formation based on social networking profiles. Front. Psychol. 8:188. doi: 10.3389/fpsyg.2017.00188
LaBar, M. (1973). Turning the left cheek examined using modern photography. Nature 245:338. doi: 10.1038/245338a0
Lammers, H. B., and Lammers, M. L. (1993). Face-ism in photographs: sex and status differences. Eur. Adv. Consumer Res. 1, 444–448.
Latto, R. (1996). Turning the other cheek: profile direction in self-portraiture. Emp. Studies Arts 14, 89–96. doi: 10.2190/198M-911X-PR9G-U18E
Lee, J. A., and Sung, Y. (2016). Hide-and-seek: narcissism and “selfie”-related behavior. Cyberpsychol. Behav. Soc. Netw 19, 347–351. doi: 10.1089/cyber.2015.0486
Lim, W. M. (2016). Understanding the selfie phenomenon: current insights and future research directions. Eur. J. Mark. 50, 1773–1778. doi: 10.1108/EJM-07-2015-0484
Lindell, A. K. (2013). Capturing their best side? Did the advent of the camera influence the orientation artists chose to paint and draw in their self-portraits? Laterality. 18, 319–28. doi: 10.1080/1357650X.2012.673622
Lindell, A. K. (2017a). Consistently showing your best side? Intra-individual consistency in #selfie pose orientation. Front. Psychol. 8:246. doi: 10.3389/fpsyg.2017.00246
Lindell, A. K. (2017b). Motor biases do not influence posing orientation in selfies. Laterality 22, 49–59. doi: 10.1080/1357650X.2015.1109649
Lindell, A. K. (2019). Left cheek poses garner more likes: the effect of pose orientation on Instagram engagement. Laterality 24, 600–613. doi: 10.1080/1357650X.2018.1556278
Manovich, L., Ferrari, V., and Bruno, N. (2017). Sefie-takers prefer left cheeks: Converging evidence from the (extended) selfiecity database. Front. Psychol. 8:1460. doi: 10.3389/fpsyg.2017.01460
Matthews, J. L. (2007). Hidden sexism: Facial prominence and its connections to gender and occupational status in popular print media. Sex Roles 57, 515–525. doi: 10.1007/s11199-007-9276-3
McManus, I. C., and Humphrey, N. K. (1973). Turning the left cheek. Nature 243, 271–272. doi: 10.1038/243271a0
Melamed, T. (1992). Personality correlates of physical height. Pers. Individ. Dif. 13, 1349–1350. doi: 10.1016/0191-8869(92)90179-S
Melkote, K., and Melkote, S. (2010). “Face-ism as a media stereotype: a case study of the newsweek magazine,” in The Interrelationship of Business and Communication ed M. B. Hinnen (New York, NY: Peter Lang), 213–227.
Middlemist, R. D., Knowles, E. S., and Matter, C. F. (1976). Personal space invasions in the lavatory: suggestive evidence for arousal. J. Pers. Soc. Psychol. 33, 541–546. doi: 10.1037/0022-3514.33.5.541
Moore, A. (2010). Where is here? An issue of deictic projection in recorded song. J. R. Music. Assoc. 135, 145–182. doi: 10.1080/02690401003597813
Musil, B., Preglej, A., Ropert, T., Klasinc, L., and Babi, N. (2017). What is seen is who you are: are cues in selfie pictures related to personality characteristics. Front. Psychol. 8:82. doi: 10.3389/fpsyg.2017.00082
Nicholls, M. E., Clode, D., Wood, S. J., and Wood, A. G. (1999). Laterality of expression in portraiture: putting your best cheek forward. Proc. R. Soc. Lond. B 266, 1517–1522. doi: 10.1098/rspb.1999.0809
Nicholls, M. E. R. (2000). “Asymmetries in portraits: insight from neuropsychology,” in Side-bias: A Neuropsychological Perspective, eds M. K. Mandal, M. B. Bulman-Fleming, and G. Tiwari (Amsterdam: Kluwer Academic Publishers), 313–329.
Nigro, G. N., Hill, D. E., Gelbein, M. E., and Clark, C. L. (1988). Changes in the facial prominence of women and men over the last decade. Psychol. Women Q 22, 225–235. doi: 10.1111/j.1471-6402.1988.tb00938.x
O'Neill, F., and Palazzo Corner, S. (2016). Rembrandt's self-portraits. J. Optics 18, 1–10. doi: 10.1088/2040-8978/18/8/080401
Orekh, E., and Bogomiagkova, E. (2017). Being on trend: selfie as a social phenomenon. Int. J. Digit. Soc. 8, 1238–1243. doi: 10.20533/ijds.2040.2570.2017.0152
Pawlowski, B. (2003). Variable preferences for sexual dimorphism in height as a strategy for increasing the pool of potential partners in humans. Proc. R. Soc. Lond. B Biol. Sci. 270, 709–712. doi: 10.1098/rspb.2002.2294
Pierce, C. A. (1996). Body height and romantic attraction: a meta-analytic test of the male-taller norm. Soc. Behav. Pers. 24, 143–149. doi: 10.2224/sbp.1996.24.2.143
Polanía, R., Krajbich, I., Grueschow, M., and Ruff, C. C. (2014). Neural oscillations and synchronization differentially support evidence accumulation in perceptual and value-based decision making. Neuron 82, 709–720. doi: 10.1016/j.neuron.2014.03.014
Polanía, R., Nitsche, M. A., Korman, C., Batsikadze, G., and Paulus, W. (2012). The importance of timing in segregated theta phase-coupling for cognitive performance. Curr Biol. 22, 1314–8. doi: 10.1016/j.cub.2012.05.021
Powell, W. R., and Schirillo, J. A. (2009). Asymmetrical facial expressions in portraits and hemispheric laterality: a literature review. Laterality 14, 545–572. doi: 10.1080/13576500802680336
Prieler, M., and Kohlbacher, F. (2017). Face-ism from an international persepctive: gendered self-presentation in online dating sites across seven countries. Sex Roles 77, 604–614. doi: 10.1007/s11199-017-0745-z
Qiu, L., Lu, J., Yang, S., Qu, W., and Zhu, T. (2015). What does your selfie say about you? Comput. Hum. Behav. 52, 443–449. doi: 10.1016/j.chb.2015.06.032
Sackeim, H. A., Gur, R. C., and Saucy, M. C. (1978). Emotions are expressed more intensely on the left side of the face. Science. 202, 434–436. doi: 10.1126/science.705335
Saltz, J. (2014). Art at arms' length: a history of the selfie. NY Magazine 47, 71–75. Available online at: http://www.vulture.com/2014/01/history9of9the9selfie.html
Schneider, T. M., and Carbon, C. C. (2017). Taking the perfect selfie: investigating the impact of perspective on the perception of higher cognitive variables. Front. Psychol. 8:971. doi: 10.3389/fpsyg.2017.00971
Schwartz, N., and Kurz, E. (1989). What's in a picture? The impact of face-ism on trait attribution. Eur. J. Soc. Psychol 19, 311–316. doi: 10.1002/ejsp.2420190405
Sedgewick, J. R., Flath, M. E., and Elias, L. J. (2017). Presenting your best self(ie): the influence of gender on vertical orientation of selfies on tinder. Front. Psychol. 8:604. doi: 10.3389/fpsyg.2017.00604
Senft, T. M., and Baym, N. K. (2015). What does the selfie say? Investigating a global phenomenon. Int. J. Commun. 9, 1588–1606. Available online at: https://ijoc.org/index.php/ijoc/article/view/4067
Smith, L. R., and Cooley, S. C. (2012). International faces: an analysis of self-infliceted face-ism in online profile pictures. J. Intercult. Commun. Res. 41, 279–296. doi: 10.1080/17475759.2012.728771
Sorokowska, A., Oleszkiewicz, A., Frackowiak, T., Pisanski, K., Chmiel, A., and Sorokowski, P. (2016). Selfie and personality: who posts self-portrait photographs. Pers. Individ. Dif. 90, 119–123. doi: 10.1016/j.paid.2015.10.037
Sorokowski, P., Sorokowska, A., Oleszkiewicz, A., Frackowiak, T., Huk, A., and Pisanski, K. (2015). Selfie posting behaviors are associated with narcissism among men. Pers. Individ. Dif. 85, 123–127. doi: 10.1016/j.paid.2015.05.004
Stulp, G., Buunk, A. P., and Pollet, T. V. (2013). Women want taller men more than men want shorter women. Pers. Individ. Dif. 54, 877–883. doi: 10.1016/j.paid.2012.12.019
Sung, Y., Lee, J.-A., Kim, E., and Choi, S. M. (2016). Why we post selfies: Understanding motivations for posting pictures of oneself. Pers. Individ. Dif. 97, 260–265. doi: 10.1016/j.paid.2016.03.032
Szillis, U., and Stahlberg, D. (2007). The face-ism effect in the Internet: differences in facial prominence of women and men. Int. J. Internet Sci. 2, 3–11.
Tidenberg, K. (2018). Selfies: Why We Love (and Hate) Them. Bingley: Emerald Publishing Lmtd. doi: 10.1108/9781787543577
Uexküll von, J. J. (1957). A stroll through the worlds of animals and men: a picture book of invisible worlds,” in Instinctive Behavior: The Development of a Modern Concept, ed C.H. Schiller (New York, NY: International Universities Press, Inc.), 5–80.
Vahedi, Z., Mazloumi, A., Sharifnezhad, A., and Azam, K. (2019). Examining the effect of smartphone on musculoskeletal disorders and neck kinematic among smartphone users in different postures and tasks. Iran. J. Ergonomics 6, 58–65. doi: 10.30699/jergon.6.4.58
Vardeman, C. E. (2017). Me, my selfie, and I: Personality trait's influence on online self-portrait sharing (MA thesis). California State University, Long Beach, CA, United States.
Veum, A., and Undrum, L. V. M. (2018). The selfie as a global discourse. Discourse Soc. 29, 86–103. doi: 10.1177/0957926517725979
Warfield, K. (2017). “I set the camera on the handle of my dresser”: re-materializing social media methods through a case study of selfies. Media Commun. 5, 65–74. doi: 10.17645/mac.v5i4.1057
Weiser, E. B. (2015). #Me: Narcissism and its facets as predictors of selfie-posting frequency. Pers. Individ. Dif. 86, 477–481. doi: 10.1016/j.paid.2015.07.007
Witkower, Z., and Tracy, J. L. (2019). A facial-action imposter: how head tilt influences perceptions of dominance from a neutral face. Psychol. Sci. 956797619838762, 893–906. doi: 10.1177/0956797619838762
Wyart, V., de Gardelle, V., Scholl, J., and Summerfield, C. (2012). Rhythmic fluctuations in evidence accumulation during decision making in the human brain. Neuron 76, 847–858. doi: 10.1016/j.neuron.2012.09.015
Yancey, G., and Emerson, M. O. (2014). Does height matter? An examination of height preferences in romantic coupling. J. Fam. Issues 37, 53–73. doi: 10.1177/0192513X13519256
Yee, N., Bailenson, J. N., Urbanek, M. C. F., and Merget, D. (2007). The unbearable likeness of being digital: the persistence of nonverbal social norms in online virtual environments. CyberPsychol. Behav. 10, 115–121. doi: 10.1089/cpb.2006.9984
Zuckerman, M. (1986). On the meaning and implications of facial prominence. J. Nonverbal. Behav. 10, 215–229. doi: 10.1007/BF00987481
R Core Team (2017). R: a Language and Environment for Statistical Computing. Available online at: https://www.R-project.org/
Keywords: selfies, human-media interaction, human-human interaction, duplex model, non-verbal communication
Citation: Bruno N, Uccelli S, Pisu V, Belluardo M and De Stefani E (2020) Selfies as Duplex Non-verbal Communication: Human—Media Interaction, Human—Human Interaction, Case Study, and Research Manifesto. Front. Comput. Sci. 2:12. doi: 10.3389/fcomp.2020.00012
Received: 20 December 2019; Accepted: 17 March 2020;
Published: 23 April 2020.
Edited by:
Gualtiero Volpe, University of Genoa, ItalyReviewed by:
Bruno Galantucci, Yeshiva University, United StatesCan Cemal Cingi, Anadolu University, Turkey
Copyright © 2020 Bruno, Uccelli, Pisu, Belluardo and De Stefani. This is an open-access article distributed under the terms of the Creative Commons Attribution License (CC BY). The use, distribution or reproduction in other forums is permitted, provided the original author(s) and the copyright owner(s) are credited and that the original publication in this journal is cited, in accordance with accepted academic practice. No use, distribution or reproduction is permitted which does not comply with these terms.
*Correspondence: Nicola Bruno, bmljb2xhLmJydW5vQHVuaXByLml0