Abstract
Fusarium verticillioides, an important maize pathogen, produce fumonisins, causes stalk rot and consequentially reduce crop growth and yield. Therefore, herein we aimed to evaluate the potential use of two farmyard soil organic manures, i.e., fresh (5-6 days old) and stored (5-6 months old) organic manure, to manage F. verticillioides infections as well as borer incidence and lodging in maize plants. After 30, 60, and 90 days of sowing, samples of soil, roots, and stems were collected to isolate F. verticillioides. Moreover, we estimated ear and kernel rot induced by F. verticillioides at the final harvest. Fresh organic manure treatment increased infection rates of F. verticillioides in soil, roots, stem and kernels compared to the control treatment. In contrast, stored organic manure plots treatments decrease F. verticillioides frequency. At 90 days after sowing, stored organic manure suppressed the survival of F. verticillioides, which reduced the F. verticillioides incidence percent. These results were similar to the effect of herbicides-and insecticide-treated plots demonstrated, which show a significant decrease in F. verticillioides incidence rates. Mycological analysis on symptomless kernels revealed a higher % of pathogen infection in opened husks variety (Balady) than closed husks variety (SC10). Compared with stored organic manure, the stem borer incidence and lodging percentage were the highest in fresh organic manure plots. Finally, these results demonstrated that storing organic manure within five to six months as farmyard manure led to high-temperature centigrade within organic manure, thereby destroying spores of F. verticillioides, whereas fresh organic manure did not.
Introduction
Fusarium verticillioides (Sacc.) Nirenberg (syn. F. moniliforme J. Sheld.) is one of the most common causal agents of diseases in maize (Zea mays L). (Blacutt et al., 2018) indicated that F. verticillioides was the predominant pathogen of maize stalk rot. For instance, Fusarium stalk reduces maize yield by 10% and 30–50% in severely affected areas (Li et al., 2010). Similarly, (Feng et al., 2022) demonstrated that Fusarium species attack the stem base of maize plants, causing stalk rot – usually during August and September. A relationship has been found between the aetiology of the Fusarium that produces stalk rot and ear rot. (Lanubile et al., 2021) demonstrated the correlation between stalk rot caused by Fusarium spp. and the lodging of 35 maize cultivars after physiological maturity (PM). Applications of herbicide and manure, fungicidal treatment of seeds, manual planting, and sprinkler irrigation lead to decreased disease and good productivity (Naseri et al., 2016; Naseri and Hemmati, 2017; Adhikary et al., 2014). The occurrence of stalk rot accelerated the decomposition of soluble sugar, which accelerated the decrease of stalk strength and significantly increased the risk of stalk lodging (Xue et al., 2021). The estimated reduction in grain weight by 5-20%, whereas the loss due to Fusarium stalk rot has been reported as 38% in total yield (AICRP, 2014). It reduces the grain yield and alters the quality of the seeds. Moreover, mycotoxins of F. verticillioides can accumulate, threatening the health of humans and animals (Marasas, 2001; Rheeder et al., 2002; Shim et al., 2003). Therefore, it is essential to develop a mechanism to effectively exclude the pathogen from the maize plants’ rhizosphere and prevent its transmission from preceding seasons (Wilke et al., 2007; Alakonya et al., 2008).
To this end, organic amendments are applied as an innovative approach to reducing the survival and infection of maize plants by F. moniliforme (Alakonya et al., 2003).In this context, using organic amendments might be viable in managing F. moniliforme in areas where the pathogen is prevalent. Consistently, Ugo De Corato (2020) showed that plant diseases caused by soil-borne pathogens had been recognized as a critical factor worldwide for plant health and productivity overall in intensive cropping systems characterized by low organic matter content and frequent soil tillage. Under organic amendments, the infection by Fusarium stalk rot was estimated to reduce the grain weight by 5-20%. In contrast, the estimated loss due to Fusarium stalk rot has been reported as 38% in total yield (Bellini et al., 2023). The animal manure is rich in organic matter content, total biological activity and actinomycetes populations, fluorescent pseudomonads and fungi demonstrated by (Abd El-Mageed et al., 2022; Abd El-Aty et al., 2022a; Abdou et al., 2022; Abo Sen et al., 2022; Ahmed et al., 2022a; Ahmed et al., 2022b).
Alakonya et al. (2008) also reported that at 60 days after silking in the corn crop, the percent recovery of F. verticillioides was reduced to even zero under organic manure treatments. Mycological analysis on symptomless kernels revealed higher recovery of F. verticilliodes grown in control plots than amended treatments, indicating the amendment’s ability to manage root infections of F. verticilliodes.Ringer et al. (2013) reported that animal manure composts inhibited damping-off induced by Pythium and Rhizoctonia even more effectively than disease conducive controls. Shafique et al. (2016) showed that organic soil amendments stimulate antagonistic activities of microorganisms to soil-borne diseases and decomposition of organic matter in the soil, which resulted in bioactive antifungal or nematicidal compounds accumulation in the soil. Soils treated with a high level of organic matter reduced the Fusarium rot root index, and improved yields occurred (Naseri, 2014; El-Saadony et al., 2021a; Abd El-Aty et al., 2022b; El-Ashry et al., 2022; El-Marzoky et al., 2022; El-Okkiah et al., 2022a).
On the other hand, revealed that the application of herbicides reduced the population of all the tested soil-borne microorganisms during this study. It may lead to significant changes in the populations of microorganisms and their activities, thereby influencing the microbial ecological balance in the soil. According to Naseri and Hamadani (2017), the herbicide application to soil causes transient impacts on microbial population growth, mainly when applied at the recommended field application rate. Therefore, herbicides demonstrate stimulative or inhibiting effects on microbial growth depending on the chemicals (type and concentration), microbial species, and environmental conditions (Zain et al., 2013; Carles et al., 2018). Likewise, Bezuglova et al. (2019); Gao et al. (2020), and Jie et al. (2021) found that the effects of herbicides on the soil microbial environment varied based on herbicide species and soil depths. For instance, compared to atrazine and chloroacetamide, the three herbicides alachlor, acetochlor, and propisochlor have a greater tendency to inhibit the growth of microbial populations (Yadav et al., 2021).
Toxicity of herbicides can impact soil biota and human health; therefore, herein we aimed to evaluate the potential use of two farmyard soil organic manures, i.e., fresh (5-6 days old) and stored (5-6 months old) manures to manage F. verticillioides infections as well as borer incidence and lodging in maize plants. These treatments were used as innovative approaches to replace herbicides, killing many soil-borne pathogens and consequently causing plant diseases. Moreover, specific responses of different organs of maize cultivars, i.e. closed husks and opened husks cultivars at different growth stages, were evaluated.
Materials and methods
Soil, root, and stalk sample collection
Soil and root sample collection was done at 30 days, 60 days and 90 days after sowing. At every stage, a randomly selected plant from each treatment replicates was uprooted, and adventitious roots and stalks were randomly selected from every plant uprooted per plot. In addition, approximately 20 g of rhizosphere soil of uprooted plants was taken. Each of these samples was separately collected in labeled plastic collection bags. Then taken to the laboratory and stored at 4°C until they were used for account F. verticillioides frequency. The account proceeded within a week following sample collection (Alakonya et al., 2008).
Recovery of F. verticillioides from soil, roots, and stalks
Soil samples from the three replicates 30, 60 and 90 after sowing each treatment were each mixed thoroughly, and 1g of soil was weighed for analysis. The number of colonies per gram of soil was determined by dissolving 1g of soil in 9 ml of sterile distilled water in a vial. The vial was vortexed before pipetting 1ml into another vial containing 9 ml of distilled water; this was repeated serially five times, followed by aseptically pipetting 1ml from the three last dilutions and dispensing into a separate petri dish with PDA medium. A petri dish with countable colonies provided the colonies for sub-culturing. For the roots, samples from each treatment at 30, 60 and 90 days of sowing were washed with water, dried in sterile filter paper, and then cut into 2 mm pieces. They were then placed into a separate petri dish with PDA medium (6 pieces for each petri dish). Twelve root pieces of 2 mm length per treatment/replicate were cultured 30, 60 and 90 days after sowing. The percent recovery of F. verticillioides was then calculated. While for stalks, the samples were taken from nodes numbers 1,2 and 3 above the crown, which was cut into cubes for about 1×1×1 cm. in a petri dish with PDA medium (6 cubes for each petri dish) at each treatment and each date. All were incubated at 25 centigrade for 5 days. The percent recovery of F. verticillioides was then calculated (Alakonya et al., 2008).
Field maize harvesting and data collection: Two rows
Per plot samples were harvested after physiological maturity (120 days of sowing). Information collected in the field included yield per two rows at each treatment, percentage lodging and borer incidence.
Recovery of F. verticillioides from kernels
Samples were taken after 100, 110 and 120 days of sowing. Three ears from each treatment at each date were randomly taken and dried on laboratory benches and room temperature until moisture content fell between 13 -15%. Moisture content below 13% prevents the growth of saprophytic fungi and hence maintains the sample’s integrity. Briefly, the kernels were dipped in 1% sodium hypochlorite for two minutes before rinsing twice in sterile distilled water and drying between sterile filter papers. Ten seeds were then plated on PDA media in three replicates and incubated at 25°C for five days. The colonies of F. verticillioides isolates were estimated (Alakonya et al., 2008; Riley, 2021).
Preparation of the animal manure
The animal’s organic manure was collected by farmers from farm animal barns daily. Then moved and stored in the farmyard and left until it was used in the field. This study used two kinds of animal organic manures: The first was fresh animal organic manure (stored for 5-6 days before using), and the second was stored animals organic manure (stored for about 5-6 months before using).
Field experiment
This experiment was conducted at Sakha Agric. Res. Station Farm, during 2019 and repeated during 2020 growing seasons. Split-split plot design with three replicates was used; the main plots were two maize cultivars (single cross (s.c) 10 and balady), the sub-plots were the tested dates (30, 60 and 90 days of sowing), and the sub-sub plots were six treatments as follows: 1- soil treatment with fresh animal manure and herbicide; 2- soil treatment with fresh animal manure and no herbicide; 3-soil treatment with stored animal manure and herbicide; 4- soil treatment with stored animal manure and no herbicide; 5-soil untreated with animal manure and treated with herbicide, and 6- soil untreated each of animal manure and herbicide (control). Each experiment unit (plot) consisted of four rows, 5m long and 80 cm width, and each row contained 20 hills, 25cm apart. Animal manure soil was treated after sowing and irrigation for about 1kg/row (ton per Feddan). The soil treatment by herbicide (Harness for about 1litre per Feddan) was also sprayed after sowing and before irrigation; the trade name, rate of application and active ingredient were shown in Table 1. All agricultural practices were applied as recommended time. The first and the second rows in each plot were used for taking the soil, roots, stalks and kernels samples in each treatment at each tested date. At the same time, the other two rows in each plot were used to estimate the lodging percent, insect incidence and yield per two rows at harvest.
Table 1
| Trade name | Rate of application | Active ingredient |
|---|---|---|
| Harness EC84% | 1L/Feddan | Acetachrol |
Trade name, rate of application, and active ingredient of harness herbicide as a spray on the soil surface after planting and before irrigation.
Results and dissection
To deal with F. verticilliodes infection and its mycotoxins, many approaches have been applied in agriculture; however, they are usually based on the use of herbicides that are reported to be acutely and chronically unsafe for humans and animals and to have adverse effects on the ecosystems (Li et al., 2019; Yadav et al., 2021). Alternative approaches to respecting the ecosystems and human and animal health have been developed. Notably the application of organic amendments as a strategy for controlling diseases caused by soil-borne pathogens. In this context, organic amendments have been reported to reduce pathogen viability and diffusion in soils and plant organs (Thi Nguyen et al., 2019). However, these effects depend on plant age, organs, and cultivars. Thus, this study was carried out to evaluate the antifungal potential of two organic amendments against F. verticillioides infection of different maize organs and at different growth stages.
In conclusion, different levels of F. verticillioides contamination were detected in maize plants grown under field conditions depending on their growth stage.
Stored organic manure reduced F. verticilliodes frequency in the rhizosphere of SC10 and Balady maize cultivars
Organic amendments are often used to improve soil quality as they can change the general suppressiveness of soil because of the enriched microbial activity. Interestingly, the frequency of F. verticillioides largely depended on the type of organic manure.F. verticilliodes was approximately equally present in S.C 10 and Balady maize cultivars (Table 2 and Figure 1). However, it was increased in the rhizosphere of the balady cultivar. Moreover, the lowest F. verticillioides was recorded in understored and herbicide treatments. In this regard, it recorded 15.66, 8.66 and 9.33 in S.C 10 and 23.66, 18.33 and 14.66 in balady cultivar after 30, 60 and 90 days of sowing, respectively. At the same time, the highest F. verticillioides frequency was recorded with treatment soil by fresh animal manure (5-6 days old) or control treatments. They recorded 136.33, 106.33 and 88.66 in S.C 10 and 150.33, 128.66 and 93.33 in balady cultivar after 30,60 and 90 days of sowing, respectively. These results were similar during the two seasons (2022 and 2021). These results are in the same line with that reported by Shafique et al. (2016), who showed that organic soil amendments stimulate antagonistic activities of microorganisms to soil-borne diseases. Bio-fertilizers have been reported to increase the abundance of biological control in soils (Thi Nguyen et al., 2019). These biological controls prevent plant diseases and mycotoxin contamination by controlling the propagation of phytopathogens and toxin production (Naz et al., 2021).
Table 2
| Maize cultivars | Sc 10 | Balady | ||||
|---|---|---|---|---|---|---|
| Days of sowing | 30 days | 60 days | 90 days | 30 days | 60 days | 90 days |
| T1 | 73.00c | 54.66c | 38.66c | 81.33c | 66.66c | 48.33c |
| T2 | 136.33a | 106.33b | 88.66b | 150.33a | 128.66a | 93.33b |
| T3 | 15.66f | 8.66f | 9.33f | 23.66f | 18.33f | 14.66f |
| T4 | 43.66e | 37.66e | 28.33e | 54.66e | 43.66e | 31.33e |
| T5 | 55.33d | 42.33d | 36.33d | 75.33d | 56.66d | 43.33d |
| T6 | 113.33b | 108.66a | 110.33a | 127.33b | 125.66b | 129.66a |
| L.S.D 0.01 L.S.D 0.05 | 1.615 | 1.125 | 1.548 | 0.774 | 0.608 | 1.912 |
| 1.134 | 0.796 | 1.087 | 0.543 | 0.427 | 1.511 | |
Fusarium verticillioides frequency from soil under different treatments at different times after sowing during the 2020 growing season.
(T1) Fresh animal manure and herbicide treated (T2) Fresh animal manure and herbicide untreated (T3) 5-6 months old animal manure and herbicide treated (4) 5-6 months old animal manure and herbicide untreated (T5) Untreated with animal manure and herbicide treated (T6) Untreated either of animal manure and/or herbicide.
Figure 1
Moreover, Ringer et al. (2013) showed a positive correlation between animal manure age and its effective suppression of microorganisms. Similarly, herbicides decrease the frequency of F. verticillioides (Tables 2, 3). These results were in line with the results of Bezuglova et al. (2019); Gao et al. (2020); Kepler et al., 2020 and Jie et al. (2021). They treated the soil with herbicides and revealed that its application reduced the population of all the tested microorganisms. The effect was increased with increasing the concentration of herbicides. Overall, the application of bio-organic fertilizer can control the Fusarium wilt of cucumber plants by regulating the microbial community of rhizosphere soil
Table 3
| Maize cultivars | Balady | Sc 10 | ||||
|---|---|---|---|---|---|---|
| Days of sowing | 90 days | 60 days | 30 days | 90 days | 60 days | 30 days |
| T1 | 50.33c | 59.66c | 75.33c | 44.66c | 49.33c | 66.66c |
| T2 | 89.33b | 110.66b | 143.33a | 87.66b | 100.66b | 126.33a |
| T3 | 13.00e | 20.66f | 26.33f | 8.66f | 10.66e | 15.66f |
| T4 | 35.33d | 41.66e | 49.33e | 24.66e | 33.33d | 36.66e |
| T5 | 49.33c | 51.33d | 69.33d | 43.66d | 49.66c | 55.66d |
| T6 | 126.33a | 119.00a | 128.33b | 107.66a | 110.66a | 100.00b |
| L.S.D 0.01 L.S.D.0.05 | 7.713 | 5.264 | 4.256 | 1.053 | 5.153 | 3.531 |
| 5.420 | 3.694 | 2.981 | 0.740 | 3.621 | 2.484 | |
Fusarium verticillioides frequency from soil under different treatments at different times after sowing during the 2021 growing season.
(T1) Fresh animal manure and herbicide treated (T2) Fresh animal manure and herbicide untreated (T3) 5-6 months old animal manure and herbicide treated (4) 5-6 months old animal manure and herbicide untreated (T5) Untreated with animal manure and herbicide treated (T6) Untreated either of animal manure and/or herbicide.
Cultivar and treatment-specific response to organic manure induced F. verticilliodes frequency reduction in maize organs
The frequency of F. verticillioides largely depends on the maize growth stage, cultivar and treatment. Moreover, the biological control by organic manure amendment, a practical approach to suppress the Fusarium wilt through inhibiting the soil-borne pathogens, is also maize cultivar and organ-specific.
Infection of maize root
The pathogenesis is responsible for the formation of seedling blight and root rot, which limit seedling emergence and plant development (Faidallah et al., 2022; Hassan et al., 2021; Khairy et al., 2022; Khedr et al., 2022; Naiem et al., 2022a; Naiem et al., 2022b; Tuon et al., 2022). F.verticilliodes frequency in roots was highest after 30 days of sowing and gradually decreased after 60 and 90 days. (Table 4 and Figure 2). This F.verticilioides frequency was lower under soil fertilizer stored organic manure (5-6 months storage) and herbicide treatment; this recorded 4.33, 3.33 and 1.33 in S.C 10, and 6.66, 4.66 and 3.66 in balady cultivar after 30, 60 and 90 days from sowing, respectively. While the highest F. verticillioides frequency in roots under fresh organic manure (5-6 days old). Consistently, these results confirmed the season of 2021 (Table 5). These results are in the same line as reported by Ringer et al. (2013), who added a positive correlation between animal manure age and its effective suppression of microorganisms. These results clarify the importance of soil fertilization with stored organic manure (for about five to six months). In general, the biocontrol of plant root disease can be obtained by manipulating the rhizosphere microflora by favouring beneficial microorganisms that are directly antagonistic to root pathogens (Gardiner, 2018, El-Saadony et al., 2022b, El-Sitiny et al., 2022, Elnahal et al., 2022, Fouda et al., 2022, Gadallah et al., 2022).
Table 4
| Maize cultivars | Sc 10 | Balady | ||||
|---|---|---|---|---|---|---|
| Days of sowing | 30 days | 60 days | 90 days | 30 days | 60 days | 90 days |
| T1 | 18.00c | 12.66c | 8.66c | 22.33c | 17.33c | 11.66b |
| T2 | 29.33a | 21.33a | 15.33a | 35.66a | 26.00a | 18.33a |
| T3 | 4.66f | 3.66e | 1.66e | 9.00f | 6.33e | 4.66e |
| T4 | 11.33e | 7.66d | 5.33d | 16.66e | 12.00d | 9.66c |
| T5 | 15.66d | 11.33c | 7.66c | 19.33d | 14.00d | 8.33d |
| T6 | 21.33b | 17.33b | 12.33b | 28.66b | 19.66b | 12.66b |
| L.S.D at 0.01 | 2.393 | 2.265 | 1.634 | 3.322 | 3.043 | 1.615 |
| L.S.D at 0.05 | 1.686 | 1.598 | 1.155 | 2.346 | 2.148 | 1.134 |
Fusarium verticillioides frequency % from roots under different soil treatments at different times after sowing during the 2020 growing season.
(T1) Fresh animal manure and herbicide treated (T2) Fresh animal manure and herbicide untreated (T3) 5-6 months old animal manure and herbicide treated (4) 5-6 months old animal manure and herbicide untreated (T5) Untreated with animal manure and herbicide treated (T6) Untreated either of animal manure and/or herbicide.
Figure 2
Table 5
| Maize cultivars | Sc 10 | Balady | ||||
|---|---|---|---|---|---|---|
| Days of sowing | 30 days | 60 days | 90 days | 30 days | 60 days | 90 days |
| T1 | 18.00c | 11.66c | 7.33c | 20.33c | 17.66b | 10.66c |
| T2 | 31.00a | 20.66a | 13.00a | 31.00a | 27.33a | 19.66a |
| T3 | 4.33f | 3.33f | 1.33f | 6.66e | 4.66e | 3.66e |
| T4 | 9.00e | 7.33e | 3.00e | 15.66d | 10.66d | 9.33d |
| T5 | 13.33d | 9.33d | 4.66d | 19.66c | 13.66c | 8.66d |
| T6 | 20.00b | 14.33b | 10.66b | 27.33b | 18.33b | 13.66b |
| L.S.D at 0.01 | 1.125 | 0.774 | 2.051 | 1.868 | 1.615 | 1.615 |
| L.S.D at 0.05 | 0.796 | 0.543 | 1.447 | 1.316 | 1.134 | 1.134 |
Fusarium verticillioides frequency % from roots under different soil treatments at different times after sowing during the 2021 growing season.
(T1) Fresh animal manure and herbicide treated (T2) Fresh animal manure and herbicide untreated (T3) 5-6 months old animal manure and herbicide treated (4) 5-6 months old animal manure and herbicide untreated (T5) Untreated with animal manure and herbicide treated (T6) Untreated either of animal manure and/or herbicide.
Infection of maize stalks
The lowest frequency of F. verticillioides from maize stalks after 30 days of sowing is shown in (Table 6 and Figure 3). This frequency was lower (0.00 to 3.33) in S.C 10maize cultivar. On the other hand, the highest frequency of tested pathogens was recorded after 90 days of sowing. At the treatment level hand, storage of organic manure (5-6 months old) or with herbicide induced more inhibition of F. verticillioides frequency in maize stalks compared to fresh organic manure (Table 7). F. verticillioides frequency was also lower in S.C 10 cultivar (0.00, 3.66 and 5.00) than in the Balady maize cultivar (0.66, 2.33 and 7.66) after 30, 60 and 90 days of sowing, respectively. These results were similar to that reported by Alakonya et al. (2008), who reported that at 60 days after silking, where recovery % of F. verticillioides was reduced to even zero in some treatments indicating that organic soil amendments have a mechanism of suppressing the survival of F. verticilliodes in the soil and hence limit its root and stalk infection ability.
Table 6
| Maize cultivars | Sc 10 | Balady | ||||
|---|---|---|---|---|---|---|
| Days of sowing | 30 days | 60 days | 90 days | 30 days | 60 days | 90 days |
| T1 | 2.33b | 8.33b | 13.33b | 6.66b | 10.66b | 18.66b |
| T2 | 3.33a | 10.66a | 16.66a | 9.33a | 19.66a | 26.33a |
| T3 | 0.00c | 3.66d | 5.00f | 0.66d | 2.33d | 7.66f |
| T4 | 0.00c | 4.33d | 6.66e | 1.33d | 7.66c | 10.33e |
| T5 | 0.66c | 4.33d | 8.33d | 3.66c | 8.33c | 13.33d |
| T6 | 1.66b | 6.33c | 11.00c | 4.33c | 9.66b | 16.33c |
| L.S.D at 0.01 | 1.248 | 1.986 | 1.886 | 1.567 | 1.868 | 2.099 |
| L.S.D at 0.05 | 0.877 | 1.39 | 1.325 | 1.105 | 1.316 | 1.479 |
Fusarium verticillioides frequency % from stalk under different soil treatments at different times after sowing during the 2020 growing season.
(T1) Fresh animal manure and herbicide treated (T2) Fresh animal manure and herbicide untreated (T3) 5-6 months old animal manure and herbicide treated (4) 5-6 months old animal manure and herbicide untreated (T5) Untreated with animal manure and herbicide treated (T6) Untreated either of animal manure and/or herbicide.
Figure 3
Table 7
| Maize cultivars | Sc 10 | Balady | ||||
|---|---|---|---|---|---|---|
| Days of sowing | 30 days | 60 days | 90 days | 30 days | 60 days | 90 days |
| T1 | 2.33b | 7.66b | 13.66b | 8.66a | 10.66b | 17.33b |
| T2 | 3.66a | 10.66a | 15.33a | 10.00a | 17.66a | 24.33a |
| T3 | 0.00c | 3.33e | 5.33f | 0.33c | 2.66d | 6.66f |
| T4 | 0.00c | 4.33de | 6.66e | 1.66c | 7.33c | 9.66e |
| T5 | 0.33c | 4.66d | 8.66d | 4.00b | 8.66c | 12.66d |
| T6 | 1.66b | 6.33c | 11.66c | 4.66b | 11.33b | 15.66c |
| L.S.D at 0.01 | 1.248 | 1.826 | 0.774 | 3.193 | 2.145 | 1.615 |
| L.S.D at 0.05 | 0.877 | 1.283 | 0.543 | 2.244 | 1.508 | 1.134 |
Fusarium verticillioides frequency % from stalk under different soil treatments at different times after sowing during the 2021 growing season.
(T1) Fresh animal manure and herbicide treated (T2) Fresh animal manure and herbicide untreated (T3) 5-6 months old animal manure and herbicide treated (4) 5-6 months old animal manure and herbicide untreated (T5) Untreated with animal manure and herbicide treated (T6) Untreated either of animal manure and/or herbicide.
Infection of maize kernels
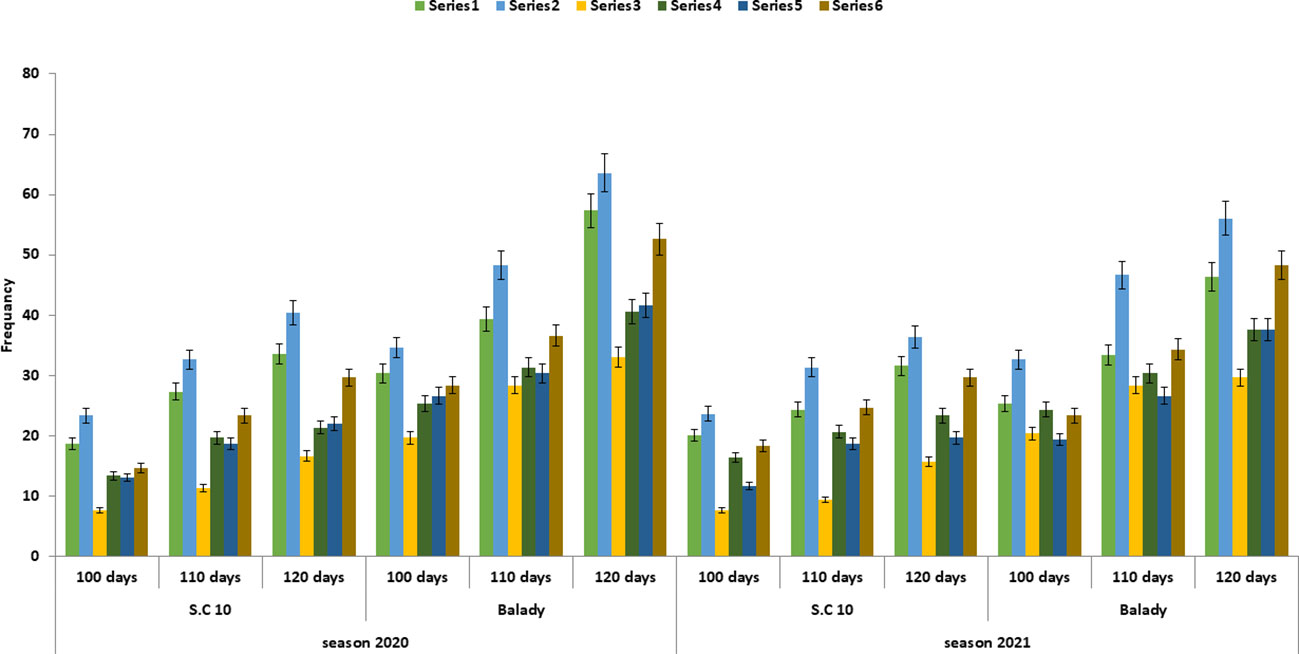
Our data (Table 8 and Figure 4) matches the lowest frequency of F. verticillioides in maize kernels after 100 days of sowing in all tested treatments. This frequency ranged from 7.66 to 23.33% and 19.66 to 34.66% in S.C 10 and Balady maize cultivars, respectively. At the same time, the highest frequency of tested pathogen was after 120 days of sowing, where it ranged from 16.66 to 40.33% and from 33.00 to 63.33% in S.C 10 and Balady maize cultivars, respectively. On the other hand, the lowest F. verticillioides frequency in maize stalks was recorded under soil treatment with storage animal manure (5-6 months old) and under treatment with herbicide at all times (Table 9). Here, we recorded 7.66, 11.33 and 16.66% in S.C 10 and 19.66, 28.33 and 33.00% in Balady maize cultivars after 100,110 and 120 days of sowing, respectively. In contrast, the highest F.verticilioides frequency was recorded under soil treatment by fresh animal manure (5-6 days old) and untreated with herbicide. In contrast, it recorded 23.33, 32.33 and 40.33% in S.C 10 and 34.66, 48.33 and 63.33% in Balady maize cultivars after 100, 110 and 120 days of sowing, respectively. These results agreed with Wilke et al. (2007) and Alakonya et al. (2008), who found that after 60 days of silking, % recovery of F. verticillioides was inhibited; this also indicates that organic soil amendments can suppress the survival of F. verticilliodes in the soil and hence limit its root infection as well as in salk, stem ear and kernels. These results were also supported by Lina et al. (2019) study, which indicated that F. verticillioides was the predominant pathogen of maize stalk rot. A relationship between the aetiology of the Fusarium that produces stalk rot and ear rot has been found. The same kind of Fusarium from both diseases can cross-infect. Maize stalk rot aggravates the occurrence of ear rot.
Table 8
| Maize cultivars | Sc 10 | Balady | ||||
|---|---|---|---|---|---|---|
![]() | 100 days | 110 days | 120 days | 100 days | 110 days | 120 days |
| T1 | 18.66b | 27.33b | 33.33b | 30.33b | 39.33b | 57.33b |
| T2 | 23.33a | 32.33a | 40.33a | 34.66a | 48.33a | 63.33a |
| T3 | 7.66d | 11.33e | 16.66e | 19.66d | 28.33c | 33.00e |
| T4 | 13.33c | 19.66d | 21.33d | 25.33c | 31.33c | 40.66d |
| T5 | 13.00c | 18.66d | 22.00d | 26.33bc | 30.33c | 41.66d |
| T6 | 14.66bc | 23.33c | 29.66c | 28.33bc | 36.66b | 52.66c |
| L.S.D at 0.01 | 6.435 | 4.189 | 2.653 | 6.046 | 5.627 | 5.276 |
| L.S.D at 0.05 | 4.525 | 2.948 | 1.86 | 4.24 | 3.951 | 3.703 |
Fusarium verticillioides frequency % from kernels under different soil treatments at different times after sowing during the 2020 growing season.
(T1) Fresh animal manure and herbicide treated (T2) Fresh animal manure and herbicide untreated (T3) 5-6 months old animal manure and herbicide treated (4) 5-6 months old animal manure and herbicide untreated (T5) Untreated with animal manure and herbicide treated (T6) Untreated either of animal manure and/or herbicide.
Figure 4
Table 9
| Maize cultivars | Sc 10 | Balady | ||||
|---|---|---|---|---|---|---|
![]() | 100 days | 110 days | 120 days | 100 days | 110 days | 120 days |
| T1 | 20.00b | 24.33b | 31.66b | 25.33b | 33.33b | 46.33b |
| T2 | 23.66a | 31.33a | 36.33a | 32.66a | 46.66a | 56.00a |
| T3 | 7.66f | 9.33e | 15.66f | 20.33d | 28.33d | 29.66d |
| T4 | 16.33d | 20.66c | 23.33d | 24.33bc | 30.33c | 37.66c |
| T5 | 11.66e | 18.66d | 19.66e | 19.33d | 26.66e | 37.66c |
| T6 | 18.33c | 24.66b | 29.66c | 23.33c | 34.33b | 48.33b |
| L.S.D at 0.01 | 1.868 | 1.567 | 1.615 | 1.467 | 2.291 | 3.821 |
| L.S.D at 0.05 | 1.316 | 1.105 | 1.134 | 1.036 | 1.617 | 2.694 |
Fusarium verticillioides frequency % from kernels under different soil treatments at different times after sowing during the 2021 growing season.
(T1) Fresh animal manure and herbicide treated (T2) Fresh animal manure and herbicide untreated (T3) 5-6 months old animal manure and herbicide treated (4) 5-6 months old animal manure and herbicide untreated (T5) Untreated with animal manure and herbicide treated (T6) Untreated either of animal manure and/or herbicide.
Lodging and insects incidence % are reduced by stored organic manure amendment
Our data (Table 10 and Figure 5) obtained during the 2020 growing season and at the final harvest indicated that the insects infection % and lodging % were increased in the case of fresh animal manure (5-6 days old). This treatment increased insects infection % and lodging % by 8,66 and 6.66%, respectively, as well as the lowest yield per two rows (10.260 g.) in S.C 10. In comparison, it recorded 16.33 and 10.33%, respectively, as well as the lowest yield per two rows (8.370 g.) in the Balady maize cultivar. On the other hand, the insect infection % and lodging % were decreased in the case of treatment with storage animal manure (5-6 months old) and herbicide, since they recorded 2.33 and 0.66%, respectively. The highest yield per two rows (12.116 g.) in S.C 10, while it recorded 7.33 and 2.66%, respectively, as well as the highest yield per two rows (10.050 g.) in the Balady maize cultivar. Here, during the 2021 growing season, the same trend as those reported in the first year (Table 11). These results align with those reported by Echezona (2007), who found that cultural practices that increase the amount of insect pressure, such as corn densities and planting geometries, can also increase the amount of lodging in the corn crop. These results also agreed with (Lanubile et al., 2021), who found a relation between stalk rot caused by Fusarium spp. and lodging in maize. They also significantly and positively correlated with the soluble sugar and stalk lodging percentage. The occurrence of stalk rot accelerated the decomposition of soluble sugar, which accelerated the decrease of stalk strength and greatly increased the risk of stalk lodging.
Table 10
| Maize | SC10 | Balady | ||||
|---|---|---|---|---|---|---|
![]() | Lodging % | Insects % | Yield/two rows | Lodging % | Insects % | Yield/two rows |
| T1 | 4.66b | 6.33b | 10.403d | 9.66a | 14.66a | 8.603c |
| T2 | 6.66a | 8.66a | 10.260d | 10.33a | 16.33a | 8.370d |
| T3 | 0.66d | 2.33d | 12.116a | 2.66c | 7.33d | 10.050a |
| T4 | 1.33d | 3.66c | 11.683b | 5.33b | 9.33c | 9.666b |
| T5 | 2.66c | 4.33c | 11.366c | 5.66b | 10.00bc | 9.526b |
| T6 | 3.33c | 5.66b | 11.216c | 7.00b | 11.33b | 9.500b |
| L.S.D at 0.01 | 1.548 | 1.634 | 0.224 | 2.61 | 2.497 | 0.305 |
| L.S.D at 0.05 | 1.087 | 1.155 | 0.152 | 1.832 | 1.754 | 0.211 |
Percentage of lodging, insect incidence and yield per two rows (kg) under the tested treatments during the 2020 growing season.
(T1) Fresh animal manure and herbicide treated (T2) Fresh animal manure and herbicide untreated (T3) 5-6 months old animal manure and herbicide treated (4) 5-6 months old animal manure and herbicide untreated (T5) Untreated with animal manure and herbicide treated (T6) Untreated either of animal manure and/or herbicide.
Figure 5
Table 11
| Maize | SC10 | Balady | ||||
|---|---|---|---|---|---|---|
![]() | Lodging % | Insects % | Yield/ rows | Lodging % | Insects % | Yield/ rows |
| T1 | 4.00b | 6.33b | 10.65d | 8.66b | 12.66b | 8.850d |
| T2 | 6.00a | 8.33a | 10.28e | 9.66a | 15.33a | 8.450e |
| T3 | 0.00d | 2.66c | 12.166a | 2.33e | 8.33d | 10.250a |
| T4 | 0.33d | 3.66c | 11.83b | 5.66d | 9.33cd | 9.900b |
| T5 | 2.00c | 5.33b | 11.45c | 7.00c | 10.66c | 9.650bc |
| T6 | 3.00bc | 6.66b | 11.35c | 8.66b | 12.33b | 9.516c |
| L.S.D at 0.01 | 1.467 | 1.947 | 0.361 | 1.412 | 1.986 | 0.455 |
| L.S.D at 0.05 | 1.036 | 1.364 | 0.25 | 0.993 | 1.39 | 0.32 |
Percentage of lodging and insect incidence under the tested treatments during 2021 growing seasons.
(T1) Fresh animal manure and herbicide treated (T2) Fresh animal manure and herbicide untreated (T3) 5-6 months old animal manure and herbicide treated (4) 5-6 months old animal manure and herbicide untreated (T5) Untreated with animal manure and herbicide treated (T6) Untreated either of animal manure and/or herbicide.
Correlation analysis
Figure 6 shows the correlation matrix among the studied traits for the six treatments. The yield was negatively and significantly correlated with all the studied traits under all the treatments except for fusarium frequency in root at 90 days in T6 treatment and fusarium frequency in the soil at 90 days in T5. There was a positive and significant correlation between the percentage of lodging, insects, and fusarium frequency in soil and maize organs (root and kernels). In addition, the figure depicts the density plots of the six treatments using kernel density estimation to estimate the probability density function (PDF). Each density plot shows the density or relative probability of the values. The area under the curve represents the distribution shape of the values of each treatment, showing whether or not a distribution has one peak (unimodal), two peaks (bimodal), or multiple peaks (multimodal) of occurring values frequency (Karev and Artem, 2019). The values on the Y axis represent the density or relative probability of the corresponding values, while the values on the X axis represent each trait’s values. A higher concentration or higher density of the values of each trait for a given treatment is indicated by the peak in each density plot. Simultaneously, the tails indicate a lower density or concentration of each trait for a given treatment, which means a lower relative probability. Most of the density plots have two peaks indicating the two cultivars, except for Fusarium in the soil at 90 days; the distribution of traits in all six treatments appeared extensive. At 90 days, there is a lower variation in the frequency of Fusarium in the soil, as demonstrated by the results. The lower triangle part of the figure shows the linear relationship among the studied traits over the six treatments with confidence intervals. The relationship reflects the linearity of the association among the studied traits, particularly between yield and the remainder of the studied traits.
Figure 6
Heatmap cluster analysis confirmed cultivar-specific responses
Heatmap was produced using the (pheatmap) package and the function (pheatmap) in (R Core Team, 2021). Heatmap cluster analysis (Figure 7) shows a relationship between treatments and the studied traits based on scaled (standardized) data presented in the color scale. Red color cells in the heatmap represent high values of the traits, while blue color cells represent low values of the traits. Before constructing the heatmap cluster analysis, the data were rescaled or standardized by subtracting the mean of each trait from each value and dividing the result by the standard deviation of that trait. Rescaling or standardization process is used to make comparison feasible because the studied traits were measured in different units. The results reveal that cultivar SC10 under T3 treatment was the highest yield (red color), which was associated with the lower values of the other traits (blue values). Cultivar Balady recorded the lowest yield under T1 and T2 (blue color), which was associated with higher values of the other traits (red color), except for fusarium frequency in the soil at 90 days which was lower in the association.
Figure 7
Artificial neural networks
Artificial neural networks are robust models interconnected by numerous and simple processing units known as neurons with a structure parallel to the biological neurons in human brains (Zhongheng, 2016). Neurons are arranged in sets called layers, such as the input layer, hidden layer, and output layer (Figure 8). The neurons in one layer are connected to the neurons in the next layer but not those in the same layer. The strength of the connection weights among two neurons between the layers is used to estimate the relative importance of the inputs to the output as a percent. The present study used a three-layer feed-forward multilayer perceptron neural network (MLP) using a backpropagation algorithm. We revealed that Fusarium frequency in kernels at 130 days was an essential trait to the yield (36%); insects came second in importance (20%), while lodging was third (19%) (Figure 9). Fusarium frequency in the soil at 90 days had 15% importance. Lastly, Fusarium frequency in stalk and root at 90 days was the least essential trait (5% for each).
Figure 8
Figure 9
Conclusion
The integrated approach of F. verticillioides could involve the use of resistant plant hybrids, the use of hybrids that have closed husks, the use of grains treated by soil-borne fungicides, the use of some herbicides which kill some soil-borne pathogens, good post-harvest date and handling practices, and use of storage organic manure (for about five to six weeks); this is because increasing the temperature centigrade within stored organic manure could kill many eggs and spores of insects and the tested pathogen, respectively, and caution never uses fresh organic manure.
Statements
Data availability statement
The original contributions presented in the study are included in the article/supplementary material. Further inquiries can be directed to the corresponding author.
Author contributions
Conceptualization, SE, MDS, OI, ME-S, and AE-T; methodology, SE, MDS, OI, ME-S, and AE-T; formal analysis, SE, MDS, OI, ME-S, and AE-T; investigation, SE, MDS, OI, ME-S, and AE-T; data curation, SE, MDS, OI, ME-S, and AE-T; writing—original draft preparation, SE, MDS, OI, ME-S, and AE-T; writing—review and editing SE, MDS, OI, ME-S, and AE-T. All authors have read and agreed to the published version of the manuscript.
Acknowledgments
The authors acknowledge the support from Princess Nourah bint Abdulrahman University Researchers Supporting Project number (PNURSP2022R15), Princess Nourah bint Abdulrahman University, Riyadh, Saudi Arabia.
Conflict of interest
The authors declare that the research was conducted in the absence of any commercial or financial relationships that could be construed as a potential conflict of interest.
Publisher’s note
All claims expressed in this article are solely those of the authors and do not necessarily represent those of their affiliated organizations, or those of the publisher, the editors and the reviewers. Any product that may be evaluated in this article, or claim that may be made by its manufacturer, is not guaranteed or endorsed by the publisher.
References
1
Abd El-AtyM. S.Al-AmeerM. A.KamaraM. M.ElmoghazyM. M.IbrahimO. M.Al-FargaA.et al. (2022b). Evaluation of genetic gains of some quantitative characters in Egyptian cotton cross (Giza 86 × menoufi) under water deficit stress. Sci. Rep.12. doi: 10.1038/s41598-022-18966-3
2
Abd El-AtyM. S.SalamaA. A.El-ShehawiA. M.ElseehyM. M.El-SaadonyM. T.El-TahanA. M. (2022a). Genetic behavior of earliness and yield traits of some rice (Oryza sativa l.) genotypes. Saudi J. Biol. Sci.29, 2691–2697. doi: 10.1016/j.sjbs.2021.12.054
3
Abd El-MageedT. A.RadyM. O. A.Abd El-WahedM. H.Abd El-MageedS. A.OmranW. M.AljuaidB. S.et al. (2022). Consecutive seasonal effect on yield and water productivity of drip deficit irrigated sorghum in saline soils. Saudi J. Biol. Sci.29, 2683–2690. doi: 10.1016/j.sjbs.2021.12.045
4
AbdouN. M.El-SaadonyF. M. A.RobyM. H. H.MahdyH. A. A.El-ShehawiA. M.ElseehyM. M.et al. (2022). Foliar spray of potassium silicate, aloe extract composite and their effect on growth and yielding capacity of roselle (Hibiscus sabdariffa l.) under water deficit stress conditions. Saudi J. Biol. Sci.
5
Abo SenE. Z. F.El-DahanM. A. A.BadawyS. A.KattaY. S.AljuaidB. S.El-ShehawiA. M.et al. (2022). Evaluation of genetic behavior of some egyption cotton genotypes for tolerance to water stress conditions. Saudi J. Biol. Sci.29, 1611–1617. doi: 10.1016/j.sjbs.2021.11.001
6
AhmedI. H. M.AliE. F.GadA. A.BardisiA.El-TahanA. M.Abd EsadekO. A.et al. (2022b). Impact of plant growth regulators spray on fruit quantity and quality of pepper (Capsicum annuum l.) cultivars grown under plastic tunnels. Saudi J. Biol. Sci.29, 2291–2298.
7
AhmedD. M.MohsenA. E. A. M. A.El-DeebM. A.AlkhedaideA.El-TahanA. M.MetwallyE. S. M. (2022a). The larvicidal effect of neemazal T/S, clove oil and ginger oil on tomato leafminer, tuta absoluta compared to coragen. Saudi J. Biol. Sci.29, 1447–1455.
8
AdhikaryP.ShilS.PatraP. S. (2014). Effect of herbicides on soil microorganisms in transplanted chilli. G.J.B.A.H.S.3 (1), 236–238. https://ir-library.ku.ac.ke/bitstream/handle/123456789/9766/Management%20of%20Fusarium%20verticillioides%20Root%20Infection%20Court%20in.pdf?sequence=1&isAllowed=y
9
AICRP (2014). Annual report of AICRP maize pathology udaipur center.
10
AlakonyaA. E.MondaE. O.AjangaS. (2008). Management of fusarium verticilioides root infection court in maize using organic soil amendments. World Appl. Sci. J.5 (2), 161–170. https://ir-library.ku.ac.ke/bitstream/handle/123456789/9769/Use%20of%20organic%20soil%20amendments%20in%20management%20of%20fusarium%20moniliforme.pdf?sequence=1&isAllowed=y
11
AlakonyaA. E.MondaE.OwinoP. O.AjangaS. (2003). Use of organic soil amendments in management of fusarium moniliforme. Afr. Crop cience Conf. Proc.6, 277–281. http://www.international-agrophysics.org/Corn-stalk-lodging-and-borer-damage-as-influenced-by-varying-corn-densities-nand,106538,0,2.html
12
BelliniA.GilardiG.IdbellaM.ZottiM.PuglieseM.BonanomiG.et al. (2023). Trichoderma enriched compost, BCAs and potassium phosphite control fusarium wilt of lettuce without affecting soil microbiome at genus level. Appl. Soil Ecol.182, 104678. doi: 10.1016/j.apsoil.2022.104678
13
BezuglovaO. S.GorovtsovA. V.PolienkoE. A. (2019). Effect of humic preparation on winter wheat productivity and rhizosphere microbial community under herbicide-induced stress. J. Soils Sediments19 (6), 2665–2675. doi: 10.1007/s11368-018-02240-z
14
BlacuttA. A.GoldS. E.VossK. A.GaoM.GlennA. E. (2018). Fusarium verticillioides: Advancements in understanding the toxicity, virulence, and niche adaptations of a model mycotoxigenic pathogen of maize. Phytopathology®108, 312–326.
15
CarlesL.JolyM.BonnemoyF. (2018). Biodegradation and toxicity of a maize herbicide mixture: Mesotrione, nicosulfuron and s-metolachlor. J. Hazard. Mater.354 (15), 42–53. doi: 10.1016/j.jhazmat.2018.04.045
16
De CoratoU. (2020). Disease-suppressive compost enhances natural soil suppressiveness against soil-borne plant pathogens. Journals Books. Rhizosphere13, 100192. doi: 10.1016/j.rhisph.2020.100192
17
EchezonaB. C. (2007). Corn-stalk lodging and borer damage as influenced by varying corn densities and planting geometry with soybean (Glycine max. l. Merrill). Int. Agrophys.21, 133–143. doi: 10.11924/j.issn.1000-6850.casb20190800568
18
El-AshryR. M.El-SaadonyM. T.El-SobkiA. E. A.El-TahanA. M.Al-OtaibiS.El-ShehawiA. M.et al. (2022). Biological silicon nanoparticles maximize the efficiency of nematicides against biotic stress induced by meloidogyne incognita in eggplant. Saudi J. Biol. Sci.29, 920–932.
19
El-MarzokyA. M.Abdel-HafezS. H.SayedS.SalemH. M.El-TahanA. M.El-SaadonyM. T. (2022). The effect of abamectin seeds treatment on plant growth and the infection of root-knot nematode meloidogyne incognita (Kofoid and white) chitwood. Saudi J. Biol. Sci.29, 970–974.
20
ElnahalA. S. M.El-SaadonyM. T.SaadA. M.DesokyE. S. M.El-TahanA. M.RadyM. M.et al. (2022). Correction: The use of microbial inoculants for biological control, plant growth promotion, and sustainable agriculture: A review (European journal of plant pathology, (2022), 162, 4, (759-792), 10.1007/s10658-021-02393-7). Eur. J. Plant Pathol.162, 1007.
21
El-OkkiahS. A. F.El-AfryM. M.Shehab EldeenS. A.El-TahanA. M.IbrahimO. M.NegmM. M.et al. (2022a). Foliar spray of silica improved water stress tolerance in rice (Oryza sativa l.) cultivars. Front. Plant Sci.13.
22
El-SaadonyM. T.AlmoshadakA. S.ShafiM. E.AlbaqamiN. M.SaadA. M.El-TahanA. M.et al. (2021a). Vital roles of sustainable nano-fertilizers in improving plant quality and quantity-an updated review. Saudi J. Biol. Sci.28, 7349–7359.
23
El-SaadonyM. T.SaadA. M.SolimanS. M.SalemH. M.DesokyE. S. M.BabalghithA. O.et al. (2022b). Role of nanoparticles in enhancing crop tolerance to abiotic stress: A comprehensive review. Front. Plant Sci.13.
24
El-SitinyM. F. A.OmarM.El-ShehawiA. M.ElseehyM. M.El-TahanA. M.El-SaadonyM. T.et al. (2022). Biochemical and molecular diagnosis of different tomato cultivars susceptible and resistant to tuta absoluta (Meyrick) infestation: Biochemical and molecular diagnosis of different tomato cultivars susceptible and resistant to tuta absoluta. Saudi J. Biol. Sci.29, 2904–2910.
25
FaidallahS. A.MoradM. M.WasfyK. I.El-SharnoubyM.KesbaH.El-TahanA. M.et al. (2022). Utilizing biomass energy for improving summer squash greenhouse productivity during the winter season. Saudi J. Biol. Sci.29, 822–830.
26
FengX.XiongH.ZhengD.XinX.ZhangX.WangQ.et al. (2022). Identification of fusarium verticillioides resistance alleles in three maize populations with teosinte gene introgression. Front. Plant Sci.13.
27
FoudaS. E. E.El-SaadonyF. M. A.SaadA. M.SayedS. M.El-SharnoubyM.El-TahanA. M.et al. (2022). Improving growth and productivity of faba bean (Vicia faba l.) using chitosan, tryptophan, and potassium silicate anti-transpirants under different irrigation regimes. Saudi J. Biol. Sci.29, 955–962.
28
GadallahF. M.El-SawahN. A.BelalH. E. E.MajrashiA.El-TahanA. M.El-SaadonyM. T.et al. (2022). Nitrogen-molybdenum-manganese co-fertilization reduces nitrate accumulation and enhances spinach (Spinacia oleracea l.) yield and its quality. Saudi J. Biol. Sci.29, 2238–2246. doi: 10.1016/j.sjbs.2021.11.036
29
GaoX.FanX.ZhangS.SongF. (2020). The effect of herbicide application on arbuscular mycorrhizal fungi in farmland: A review. Chin. Agric. Sci. Bull.36 (27), 129–134. doi: https://doi.org/10.1155/2021/6649498
30
GardinerD. M. (2018). Genome sequences of three isolates of fusarium verticillioides. Microbiol. Resource Announcements7, e00918–e00918. doi: 10.1128/MRA.00918-18
31
HassanM. A. A.El-SaadonyM. T.MostafaN. G.El-TahanA. M.MesihaP. K.El-SaadonyF. M. A.et al. (2021). The use of previous crops as sustainable and eco-friendly management to fight fusarium oxysporum in sesame plants. Saudi J. Biol. Sci.28, 5849–5859. doi: 10.1016/j.sjbs.2021.06.041
32
JieC.WenpingY.JinL.SumeraA.KaiW.ZhenpingY.et al. (2021). Effects of herbicides on the microbial community and urease activity in the rhizosphere soil of maize at maturity stag. J. Sensors.26 (8), 1–11. doi: 10.1016/j.mbs.2019.108235
33
KarevG. P.ArtemS. N. (2019). How trait distributions evolve in populations with parametric heterogeneity. Math. Biosci.315, 108235. doi: 10.1016/j.mbs.2019.108235
34
KeplerR. M.EppD. J.YarwoodS. A. (2020). Soil microbial communities in diverse agroecosystems exposed to the herbicide glyphosate. Appl. Environ. Microbiol.86 (5), e01744. doi: 10.1128/AEM.01744-19
35
KhairyA. M.TohamyM. R. A.ZayedM. A.MahmoudS. F.El-TahanA. M.El-SaadonyM. T.et al. (2022). Eco-friendly application of nano-chitosan for controlling potato and tomato bacterial wilt. Saudi J. Biol. Sci.29, 2199–2209. doi: 10.1016/j.sjbs.2021.11.041
36
LanubileA.GiorniP.BertuzziT.MaroccoA.BattilaniP. (2021). Fusarium verticillioides and Aspergillus flavus Co-Occurrence Influences Plant and Fungal Transcriptional Profiles in Maize Kernels and In Vitro. Toxins13, 680.
37
KhedrR. A.SorourS. G. R.AboukhadrahS. H.El ShafeyN. M.Abd ElsalamH. E.El-SharnoubyM. E.et al. (2022). Alleviation of salinity stress effects on agro-physiological traits of wheat by auxin, glycine betaine, and soil additives. Saudi J. Biol. Sci.29, 534–540. doi: 10.1016/j.sjbs.2021.09.027
38
LiW. J.HeP.JinJ. Y. (2010). Effect of potassium on ultrastructure of maize stalk pith and young root and their relation to stalk rot resistance. Agric. Sci. China.9, 1467–1474. doi: 10.1016/S1671-2927(09)60239-X
39
LiL.QuQ.CaoZ.GuoZ.JiaH.LiuN.et al. (2019). The relationship analysis on corn stalk rot and ear rot according to fusarium species and fumonisin contamination in kernels. Toxins11, 320. doi: 10.3390/toxins11060320
40
MarasasW. F. O. (2001). Discovery and occurrence of the fumonisins: A historical perspective. Health Perspec- tives.109, 239–243. doi: 10.5897/AJMR12.1277
41
NaiemS. Y.BadranA. E.BoghdadyM. S.AljuaidB. S.El-ShehawiA. M.SalemH. M.et al. (2022a). Performance of some elite potato cultivars under abiotic stress at north Sinai. Saudi J. Biol. Sci.29, 2645–2655. doi: 10.1016/j.sjbs.2021.12.049
42
NaiemS. Y.BadranA. E.BoghdadyM. S.AlotaibiS. S.El-ShehawiA. M.SalemH. M.et al. (2022b). Stability and anatomical parameters of irradiated potato cultivars under drought stress. Saudi J. Biol. Sci.29, 2819–2827. doi: 10.1016/j.sjbs.2022.01.003
43
NaseriB. (2014). Bean production and fusarium root rot in diverse soil environments in Iran. J. Soil Sci. Plant Nutr.14 (1), 177–188. doi: 10.4067/S0718-95162014005000014
44
NaseriB.HamadaniS. A. (2017). Characteristic agro-ecological features of soil populations of bean root rot pathogens. Rhizosphere3(1), 203–208. doi: 10.1016/j.rhisph.2017.05.005
45
NaseriB.HemmatiR. (2017). Bean root rot management: Recommendations based on an integrated approach for plant disease control. Rhizosphere4 (2017), 48–53. doi: 10.1016/j.rhisph.2017.07.001
46
NaseriB.ShobeiriS. S.TabandeL. (2016). The intensity of a bean fusarium root rot epidemic is dependent on planting strategies. J. Phytopathol.164, 147–154. doi: 10.1111/jph.12438
47
NazR.BanoA.NosheenA.YasminH.KeyaniR.ShahS. T. A.et al. (2021). Induction of defense-related enzymes and enhanced disease resistance in maize against fusarium verticillioides by seed treatment with jacaranda mimosifolia formulations. Sci. Rep.11, 59. doi: 10.1038/s41598-020-79306-x
48
R Core Team (2021). R: A language and environment for statistical computing (Vienna, Austria: R Foundation for Statistical Computing). Available at: https://www.R-project.org/.
49
RheederJ. P.MarasasW. F. O.VismerE. F. (2002). Production of fumonisins analogs by fusarium species. Appl. Environ. Microbiol.68, 2101–2105. doi: 10.1128/AEM.68.5
50
RileyJ. (2021). “Top control methods for maize pests, diseases and weeds,” in Cookies on the farmers weekly website.
51
RingerC. E.MillnerP. D.TeerlinckL. M.LymanB. W. (2013). Suppression of seedling damping-off disease in potting mix containing animal manure composts, Vol. 5. 6–14. doi: 10.1080/1065657X.1997.10701869
52
ShafiqueH. A.SultanaV.Ehteshamul-HaqueS.AtharM. (2016). Management of soil-borne diseases of organic vegetables. J. Plant Prot. Res.56, 3. doi: 10.1515/jppr-2016-0043
53
ShimW. B.FlahertyJ. E.WoloshukC. P. (2003). Comparison of fumonisin B1 biosynthesis in maize germ and degermed kernels by fusarium verticillioides. J. Food Prot.66, 2116–2122. doi: 10.4315/0362-028X-66.11.2116
54
Thi NguyenD.Chi HieuN.Thi Bich ThaoH.Xuan HoatT. (2019). First report of molecular characterisation of fusarium proliferatum associated with root rot disease of Indian mulberry (Morinda officinalis how.) in Viet nam. Arch. Phytopathol. Plant Prot.52, 200–217. doi: 10.1080/03235408.2019.1603351
55
TuonF. F.DantasL. R.SussP. H.Tasca RibeiroV. S. (2022). Pathogenesis of the pseudomonas aeruginosa biofilm: A review. Pathogens11, 300. doi: 10.3390/pathogens11030300
56
WilkeA. L.BronsonC. R.TomasA.MunkvoldG. P. (2007). Seed transmission of fusarium verticillioides in maize plants grown under three different temperature regimes. Plant Dis.91, 1109–1115. doi: 10.1094/PDIS-91-9-1109
57
XueJ.GaoS.HouL.LiL.MingB.XieR.et al. (2021). Physiological influence of stalk rot on maize lodging after physiological maturity. Agronomy11, 2271. doi: 10.3390/agronomy11112271
58
YadavK.DamodaranT.DuttK.SinghA.MuthukumarM.RajanS.et al. (2021). Effective biocontrol of banana fusarium wilt tropical race 4 by a bacillus rhizobacteria strain with antagonistic secondary metabolites. Rhizosphere18. doi: 10.1016/j.rhisph.2021.100341
59
ZainN. M. M.MohamadR. B.SijamK.MorshedM. M.AwangY. (2013). Effects of selected herbicides on soil microbial populations in oil palm plantation of Malaysia: A microcosm experiment. Afr. J. Microbiol. Res.7 (5), 367–374. doi: 10.5897/AJMR12.1277
60
ZhonghengZ. (2016). Neural networks: Further insights into error function, generalized weights and others. Ann. Transl. Med.4 (16), 300. doi: 10.21037/atm.2016.05.37
Summary
Keywords
Fusarium verticilioides, farmyard, organic manure, maize, herbicides, pathogen
Citation
Elsayed SSA, Sehsah MD, Oueslati MA, Ibrahim OM, Hamden S, Seddek NH, Abo-Elmagd HI, Alkhalifah DHM, Sheteiwy MS, AbdElgawad H, El-Saadony MT and El-Tahan AM (2023) The effect of using fresh farmyard manure (animal manure) on the severity of Fusarium verticilioides in soil, root, stem, and kernels as well as lodging and borer incidence of maize plants. Front. Plant Sci. 13:998440. doi: 10.3389/fpls.2022.998440
Received
20 July 2022
Accepted
28 November 2022
Published
25 January 2023
Volume
13 - 2022
Edited by
Rachid Lahlali, Ecole Nationale d’Agriculture de Meknès, Morocco
Reviewed by
Bita Naseri, Education and Extension Organization (AREEO), Iran; Rehana Sardar, University of the Punjab, Pakistan
Updates
Copyright
© 2023 Elsayed, Sehsah, Oueslati, Ibrahim, Hamden, Seddek, Abo-Elmagd, Alkhalifah, Sheteiwy, AbdElgawad, El-Saadony and El-Tahan.
This is an open-access article distributed under the terms of the Creative Commons Attribution License (CC BY). The use, distribution or reproduction in other forums is permitted, provided the original author(s) and the copyright owner(s) are credited and that the original publication in this journal is cited, in accordance with accepted academic practice. No use, distribution or reproduction is permitted which does not comply with these terms.
*Correspondence: Amira M. El-Tahan, aeltahan@srtacity.sci.eg
This article was submitted to Plant Pathogen Interactions, a section of the journal Frontiers in Plant Science
Disclaimer
All claims expressed in this article are solely those of the authors and do not necessarily represent those of their affiliated organizations, or those of the publisher, the editors and the reviewers. Any product that may be evaluated in this article or claim that may be made by its manufacturer is not guaranteed or endorsed by the publisher.



