Abstract
The Bronze Age was a time of technological, socioeconomic, and political transformation in Europe. Since Bronze Age socioeconomic institutions were rooted in the landscape, they can be investigated using a settlement ecology approach to how people positioned themselves relative to the environment and each other. Transylvania is home to a rare combination of mineral resources, trade infrastructures, and productive agropastoral land, all of which were critical to Bronze Age societies. This study combines size-and rank-size analyses to suggest that there were several shifts in how people positioned themselves across settlements in Transylvania during the Bronze Age. This research contributes to a broader understanding of the factors that inform where people choose to settle down and the consequences those decisions have on the development of social, economic, and political institutions.
Introduction
The development of larger and more densely networked settlements is a key issue in archeological research (Birch, 2013; Feinman and Neitzel, 2023). Early towns were not only large settlements, but they also ushered in new types of regional relationships (Quinn and Barrier, 2018). With new forms of sedentism and aggregation came new institutions to foster interaction and decision-making (Holland-Lulewicz et al., 2020). These institutions often have consequences for the distribution of socioeconomic resources and political power within a society (Beck and Quinn, 2023).
Rather than assume a particular arrangement of social hierarchy or egalitarian systems, the relationship between people and access to key economic resources becomes the core of analyses (see Blanton and Fargher, 2008; Borgerhoff Mulder et al., 2009; Earle and Spriggs, 2015; Leppard, 2019; Smith and Codding, 2021; Feinman and Neitzel, 2023). Drawing upon cross-cultural research, Feinman and Neitzel (2023, p. 6) have noted that key resources that were patchy or had to be acquired through trade provided opportunities for differential control and fostered greater and enduring inequalities, while horizontal ties and collective action was much more common if a community’s key resources were broadly dispersed or evenly distributed. In heterogeneous landscapes, there must be diverse and alternative pathways of long-term social change. By separating the processes of sedentism and aggregation from explanations of resource extraction and distribution, archeologists can investigate how they articulate and change over time.
The Bronze Age was a time of technological, socioeconomic, and political transformation in Europe. Advances in metallurgy increased the quality and quantity of metal used for adornment items, weapons, and more mundane tools (Radivojević et al., 2019). The increased reliance upon copper and bronze helped fuel the development of interregional trade and exchange networks as people sought out mineral resources that were not locally available in many parts of the continent (Ling et al., 2013, 2014, 2022). People ramped up trade infrastructure, including boat and ox cart technologies, to handle the increase in quantity of material being exchanged and further facilitate long-distance exchange (Van de Noort, 2004; Bondár, 2012). Communities across Europe articulated themselves to these economic networks through which metal – and a wide range of other natural resources and commodities – flowed (Earle et al., 2015). People aggregated into larger towns, including those with control over other communities as part of complex regional polities, which required new socioeconomic institutions to ensure access to resources, social cohesion, and safety (Gogâltan and Sava, 2010; Szentmiklosi et al., 2011; Gogâltan et al., 2019).
These socioeconomic transformations were neither unidirectional nor universal across the continent. Understanding how, when, and where complex regional polities emerged in the Bronze Age has been a fertile area for archeological research (Gilman, 1981; Hanks and Linduff, 2009; Earle and Kristiansen, 2010; Duffy, 2014; O’Shea and Nicodemus, 2019; Gyucha and Parkinson, 2022; Laabs, 2023). The fitful process by which inequality was institutionalized within a broader social hierarchy was as variable as the cultural practices and landscapes across the continent. For example, Nicodemus (2014, 2018) has argued for elite-controlled specialized production of horses at Pecica-Santul Mare, which Kanne (2022) has shown co-occurs with forms of equestrianism and political authority that were dispersed more broadly and less hierarchically across the Carpathian Basin. Tell-building traditions and their settlement systems in the Carpathian Basin were likewise highly variable and followed different regional trajectories (Duffy, 2014; Kienlin et al., 2017; Kienlin, 2018; Lie et al., 2019). Settlements and settlement systems were considerably diverse in terms of their site layout, size, and location (Găvan and Kienlin, 2021). Consequently, Bronze Age Europe can best be described as a multi-scalar mosaic: where local histories and landscape affordances shaped and were shaped by larger-scale political, social, and economic networks.
Bronze Age socioeconomic institutions were rooted in the landscape, making them accessible through a settlement ecology approach. Settlement ecology seeks to explain the choices people made regarding where to live as they are mediated through historically and geographically contingent factors (Stone, 1996; Jones, 2010). Within a settlement ecology approach, settlement patterns are considered the product of people’s interaction with dynamic natural and cultural landscapes (Stone, 1996; Jones, 2010, 2017; Jones and Ellis, 2016; Kellett and Jones, 2017; Quinn et al., 2022). Settlement ecological approaches center human-environment interaction and avoid the pitfalls of the older “ecosystem approach” (see Brumfiel, 1992) by highlighting human agency and creating an interpretive structure where groups of actors can create transformative change. These approaches are part of a broader effort to understand the relationship among the landscape, socioeconomic organization, and human decision-making and their effects on settlement patterns and culture change (McClure et al., 2009; Jazwa and Jazwa, 2017; Weitzel and Codding, 2022).
Kellett and Jones (2017, p. 3) have identified the core question in archeological applications of settlement ecology: “why do people settle in a given place during a specific time and in a particular arrangement?” This question can be divided into two themes within settlement ecological studies: (1) where people position themselves in space, and (2) how people arrange themselves into communities and broader settlement systems. How people position themselves in space can be investigated through assessments of site location and how people prioritize their settlement locations relative to key resources and topographic features in the landscape (see Quinn and Ciugudean, 2018; Quinn et al., 2020b). How people arrange themselves across settlement systems can be investigated through assessments of how population was spread across a settlement network. In this study, I use site-size and rank-size analyses to characterize settlement patterns in southwestern Transylvania, and trace how they change over the course of the Bronze Age. The multiple changes in the settlement ecology of Bronze Age communities in Transylvania necessitated changes in socioeconomic institutions for the procurement, distribution, and consumption of metal and other key resources in this resource-rich landscape.
Transylvania during the Bronze Age
The Transylvanian Bronze Age is divided into three broad phases (Early, Middle, and Late), each of which is further divided into subphases often associated with different archeological cultures (see Boroffka, 1994; Ciugudean and Gogâltan, 1998; Ciugudean and Quinn, 2015; Bălan et al., 2018; Quinn et al., 2020a). The analyses in this study trace settlement patterns in southwest Transylvania across the Early Bronze Age [EBA I (2700–2500 BCE), EBA II (2500–2250 BCE), EBA III (2250–2000 BCE)], the Middle Bronze Age [Formative Wietenberg (2000–1875 BCE), Classical Wietenberg (1875–1500 BCE)], and the beginnings of the Late Bronze Age [Terminal Wietenberg (1500–1320 BCE)]. The Late Bronze Age is marked by the movement of Noua culture communities from the Eurasian Steppe into Transylvania.
Southwest Transylvania stands out as providing a rare combination of natural resources, trade infrastructures, and agropastoral productivity, all of which were critical to the social, economic, and political institutions of Bronze Age societies. Bronze Age subsistence was rooted in agropastoral economies centered on domesticated plants, like wheat and barley, and animals like pigs, sheep, goats, cattle, and eventually horses (Ciută, 2012; Nicodemus, 2018). Wild resources were also an important part of Bronze Age foodways, including fish, mussels, small game like rabbits, and large game like red deer. Domesticated animals provided not only meat, but also secondary food products like milk and cheese, other important secondary products like wool, and labor for farming and transportation (Sherratt, 1983; Kanne, 2022). Agropastoral economies required fertile land to farm as well as productive areas for pasture.
The Apuseni Mountains are home to the largest gold deposits in Europe, which – along with significant deposits of copper – were valuable minerals in the Bronze Age (Boroffka, 2006; Ciugudean, 2012; Beck et al., 2020). There are significant salt springs and rock salt deposits at the margins where the Transylvanian Plateau meets the foothills of the Apuseni and Carpathian Mountains (Harding and Kavruk, 2013). The Mureș River and its terraces provides an important corridor for trade and exchange by boat, ox cart, or foot (Bondár, 2012). This river connects the rolling hills in the heart of Transylvania to the east to the Carpathian Basin and ultimately the Tisza and Danube Rivers to the west (O’Shea, 2011). There would have been abundant forests at the start of the Bronze Age that could have provided the fuel for their fiery technologies like ceramic production and metallurgy. Forests would also have provided refugia for wild game which could be hunted. Pasture, both in the Apuseni uplands and the Mureș floodplain could have supported domesticated animals. The broad terraces along the Mureș and the lower portions of the mountain valleys would have been ideal for Bronze Age agriculture. Together, this bountiful landscape had the resources to support growing populations and potentially fuel the emergence of more hierarchically-organized polities.
Applying a settlement ecological approach to Bronze Age Transylvania
The socioeconomic institutions of Bronze Age Transylvania were mediated through the environment. In a prior study of settlement placement in southwest Transylvania, my colleague and I used catchment analyses to explore the economic priorities of Bronze Age communities (see Quinn and Ciugudean, 2018). These catchment analyses suggested that EBA I communities were situated in the landscape with minimal consideration of accessing particular resources in local catchments. Throughout the Bronze Age, communities did not prioritize access to metal ores; perhaps surprising given their abundance and economic importance to all Bronze Age societies. Starting with the EBA II and continuing through the Terminal Wietenberg, communities prioritized access to agricultural land and interregional trade routes along the Mureș River corridor. With the start of the MBA, there was a diversification among the catchments in which the largest settlements were placed, suggesting that different large Wietenberg communities may have engaged in different socio-economic strategies to grow and support their populations.
Catchment analyses of mortuary sites in southwest Transylvania have shed light on the roles of symbolic landscapes as part of a broader settlement ecology (Quinn et al., 2020b). During the Early Bronze Age, people placed their dead in highly visible cemeteries in the metal-rich mountain landscapes. This prioritization of metal-rich land for Early Bronze Age cemeteries stands in stark contrast to settlement placement, which did not prioritize these landscapes. By the Middle Bronze Age, however, most burials were placed in flat cemeteries near settlements. These cremation cemeteries were not in metal-rich landscapes, and instead were situated near interregional trade routes and good agricultural land.
These prior studies have emphasized an important aspect of settlement ecology: where people chose to place their settlements and cemeteries relative to economic resources in a heterogenous landscape. How people in Transylvania positioned themselves relative to others is another important aspect of Bronze Age settlement ecology. People may have prioritized access to key socioeconomic hubs within a region, which may have resulted in some settlements growing significantly larger than others. Alternatively, people may have prioritized autonomy and separation from each other. While site location is a choice made at the initial founding of a settlement, population growth, aggregation, and depopulation are all processes that take place over longer periods of time. This issue, however, requires additional analyses.
Site-size and rank-size analyses and Bronze Age Transylvanian settlement ecology
The way people position themselves relative to each other will affect the size of settlements. Settlement site-size distributions have been an important line of evidence to identify the presence of complex regional polities in middle-range societies in Europe (see Gilman, 1981; Németi and Molnár, 2002, 2012; Kristiansen and Larsson, 2005, pp. 125, 158; Earle and Kristiansen, 2010; Duffy, 2015). The presence of site-size hierarchies, defined as a settlement pattern composed of many small sites and few large sites (Duffy, 2015, p. 85), may indicate the presence of regional centralization of political authority – the emergence of a political system with a central chief or chiefly lineage situated in the large regional center and exerting political control or influence over surrounding, small, settlements. However, there are several alternative processes that can produce a settlement site-size hierarchy as recovered by archeologists without complex regional polities, including fission-fusion models (Blitz, 1999), differences in catchment productivity, and seasonal or special purpose aggregations (also see Flannery, 1976; Crumley, 1979; Parkinson, 2002; Galaty, 2005; Peterson and Drennan, 2011; Duffy, 2015; Quinn and Barrier, 2018). There are key demographic thresholds when population density and the sizes of interactive networks create strains on social institutions (Feinman and Neitzel, 2023). In these contexts, people may invent new communally-integrative institutions to avoid fissioning, with varying degrees of success (Bandy, 2004). As these alternative processes affect site size and placement, settlement site-size distributions are but one of the several archeological measures used to identify the presence of and the mechanisms involved in the emergence of site-size hierarchies.
Rank-size analyses are another method to characterize how people were distributed across the landscape using site-size as a proxy for population. In general, rank-size analyses should be able to assess if populations distributed across different settlements matched expectations for more autonomous village societies (with sites of a similar size) or hierarchical community organization (with one large primate center and many smaller sites). Rank-size analyses are based on a null-model of a log-normal site size distribution; the expectation that the second largest settlement (rank = 2) should be half as large as the largest settlement (rank = 3), the third largest settlement (rank = 3) should be half as large as the second largest settlement, and so on (Zipf, 1949; Drennan and Peterson, 2004, p. 533).
The Bronze Age Transylvania Survey (BATS) Project has compiled a comprehensive dataset of Bronze Age settlements in Alba County, Romania (Figure 1). At the county level, broad chronological and cultural affiliations for each settlement are assessed based on ceramic styles. The BATS Project complemented this extensive dataset with intensive pedestrian survey, test excavation, and radiocarbon dating of Bronze Age sites in the Geoagiu Valley, a key corridor connecting the fertile Transylvanian lowlands and the metal-rich Apuseni Mountains (Figure 2).
Figure 1

Map of Bronze Age settlements in southwest Transylvania (Geoagiu Valley region sites marked with green dots).
Figure 2

Map of settlements in the Geoagiu Valley region.
Site sizes in southwest Transylvania were estimated in two ways. In most cases, site extents were determined through pedestrian survey as part of the BATS Project. At the few sites with more intensive archeological research, site sizes were derived from published site maps. For several phases (especially EBA I and EBA III), there are only a few sites with recorded site sizes. It is important to note that for many multi-component sites, it is not clear how settlement size changed through time (if population grew, shrunk, or stayed constant; if settlement moved to create a large cumulative footprint). As a result, sites were omitted from this analysis if the size of a particular component was significantly overestimated by the overall size of the site. These issues can only be resolved with significantly more survey and sub-surface testing.
For each Bronze Age phase, the settlement system was characterized by the coefficient A developed by Drennan and Peterson (2004). The A-coefficient measures deviation from the ideal rank-size distribution (a negative linear relationship between the log-normal distribution of site sizes and log-normal distribution of settlement rank), with a primate distribution expected (A = negative) in settlement patterns with a large regional center and a convex distribution expected (A = positive) in settlement patterns that lack a significant regional hierarchy (Figure 3).
Figure 3

Potential distributions of rank-size model. Log-normal and primate distributions are more consistent with hierarchical settlement systems while convex distributions are more consistent with more horizontally integrated settlement systems. The shaded area represents the deviation from the log-normal distribution measured through the A-coefficient.
The A-coefficient is a useful tool because it facilitates comparisons between two or more observed patterns (such as time periods) (Drennan and Peterson, 2004, p. 535). The comparative potential of the A-coefficient is important because of the shortcomings in the southwest Transylvanian regional dataset. Most biases in the dataset, such as an underrepresentation of small sites due to the lack of a systematic pedestrian and geophysical survey program at the county level, are consistent across all time periods. The rank-size model is also sensitive to the presence of multiple polities within a region – where the second ranked site in the region, similar in size to the first ranked site, will result in a convex distribution (positive A-coefficient) though each individual polity may fit a primate or log-normal distribution. As such, the overall A-coefficient value and its association with log-normal, primate, and convex distributions are less important than monitoring when, and in how, settlement systems in Bronze Age southwest Transylvania underwent qualitative and quantitative changes.
Results
In this section, I present the results of analyses first at the regional scale across southwest Transylvania (Alba County), then at the microregional scale within the Geoagiu Valley. Of the 108 known sites associated with the six Bronze Age subphases in this study, there are 40 sites with site-size estimates in Alba County. These settlements range from less than a hectare to nearly 9 hectares in size (Figure 4). The sites can be classified into three ordinal size categories: small sites (up to 3 ha), medium-sized sites (3–6.5 ha), and large sites (6.5–9 ha). Of the 40 sites, 28 are small (70%), 9 are medium-sized (22.5%), and 3 are large (7.5%).
Figure 4

Distribution of site sizes for all known Early Bronze Age and Wietenberg sites (40 total sites), which can be divided into small (0–3 ha), medium (3–6.5 ha) and large (6.5–9 ha) size categories.
EBA I: southwest Transylvania site and rank-size analysis
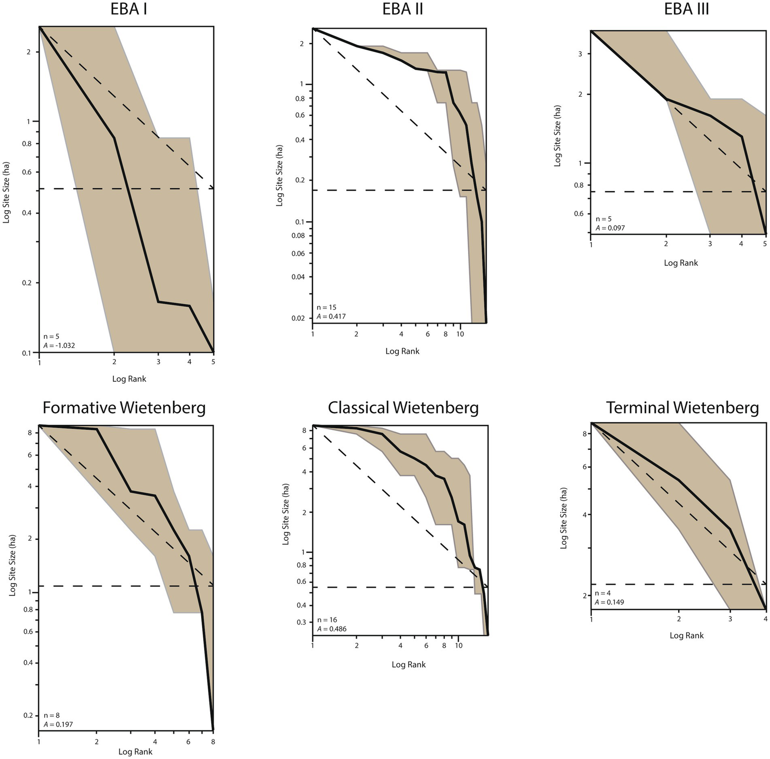
Only 5 of 14 sites (35.7%) from EBA I (2700–2500 BCE) have site size estimates (Table 1). All five sites are classified as small sites (under 3 hectares). The rank-size graph is close to a primate distribution (A = −1.032), which is normally associated with a single large site and many small sites (Figure 5). In this case, the largest site is Sântimbru-Obreje/La Tabaci, which is only 2.56 ha in size. This site is also occupied during the EBA II, and it is currently unclear if the total area of the site was fully occupied continuously through these two periods, or if the overall site size was produced through two smaller and mostly spatially distinct (though overlapping) occupations.
Table 1
| ID | Site name | Site size (ha) |
|---|---|---|
| 51 | Capud-Măgura Capudului | 0.16538021759 |
| 137 | Livezile-Baia | 0.84512416841 |
| 185 | Poiana Ampoiului-Piatra Corbului | 0.10056771773 |
| 231 | Sântimbru-Obreje/La Tabaci | 2.56340003994 |
| 279 | Rameț-Gugului | 0.15882737526 |
EBA I site sizes.
Figure 5

Rank-size plot of settlement networks for each Bronze Age subphase in southwest Transylvania. Shaded area is the approximate 90% confidence zone for rank-size curve.
EBA II: southwest Transylvania site and rank-size analysis
A substantial portion of known EBA II sites, 15 of 21 (71.4%), have site size estimates (Table 2). All 15 sites are classified as small sites (under 3 hectares). The rank-size graph matches a convex distribution (A = 0.417), which is normally associated with a settlement pattern without a large regional center (see Figure 5). The largest site is Sântimbru-Obreje/La Tabaci, which is only 2.56 ha in size.
Table 2
| ID | Site name | Site size (ha) |
|---|---|---|
| 3 | Aiud-Cetățuie | 1.70097152625 |
| 37 | Ampoița-Pestera Liliecilor | 0.01841217094 |
| 97 | Geoagiu de Sus-Fântâna Mare | 1.22602725922 |
| 148 | Lopadea Nouă-Cetățuie 1 | 0.15308960391 |
| 162 | Micoșlaca-(no name) | 0.61200839248 |
| 167 | Oarda de Jos-Dublihan | 1.30524874187 |
| 175 | Ormeniș-(no name) | 1.27178793783 |
| 185 | Poiana Ampoiului-Piatra Corbului | 0.10056771773 |
| 222 | Șard-(no name) | 0.25571287703 |
| 224 | Șard-Bilag 2 | 1.23366949248 |
| 231 | Sântimbru-Obreje/La Tabaci | 2.56340003994 |
| 238 | Stremț-Berc 1 | 0.50500452220 |
| 274 | Capud-(no name) | 0.73690801085 |
| 276 | Teiuș-Coastă | 1.90392247900 |
| 277 | Gârbova de Jos-În Coastă | 1.49381786954 |
EBA II site sizes.
EBA III: southwest Transylvania site and rank-size analysis
Just under half of the sites with EBA III components, 5 of 11 (45.5%) have site size estimates (Table 3). Four sites (80.0% of EBA III sites) are classified as small sites (under 3 hectares), and one site (20.0% of EBA III sites) is classified as medium-sized (between 3 and 6.5 hectares). The rank-size graph most closely matches a log-normal distribution (A = 0.097) associated with the presence of a site-size hierarchy (see Figure 5). The largest site is Oarda de Jos-Sesul Orzii, which is 3.77 ha in size.
Table 3
| ID | Site name | Site size (ha) |
|---|---|---|
| 136 | Lancrăm-Glod | 1.60842068679 |
| 167 | Oarda de Jos-Dublihan | 1.30524874187 |
| 168 | Oarda de Jos-Sesul Orzii | 3.77049409628 |
| 252 | Uioara de Jos-La Grui/Gruiul lui Sip | 0.49037463410 |
| 276 | Teiuș-Coastă | 1.90392247900 |
EBA III site sizes.
Formative Wietenberg: southwest Transylvania site and rank-size analysis
In southwest Transylvania, 8 of 14 settlements (57.1%) of Formative Wietenberg sites (sites with Wietenberg Type A ceramics) have site size estimates (Table 4). While some sites with Wietenberg Types B and C ceramics may date to the second half of the formative Wietenberg, they are omitted from this analysis because they cannot be attributed to the Formative Wietenberg without radiocarbon dates. Four of the sites (50.0% of Formative Wietenberg sites) are classified as small sites (under 3 hectares), two sites (25.0% of Formative Wietenberg sites) are classified as medium-sized (between 3 and 6.5 hectares), and two sites (25.0% of Formative Wietenberg sites) are classified as large sites (over 6.5 hectares). The rank-size graph is slightly concave (A = 0.197), which is normally associated with a settlement pattern without a large regional center (see Figure 5). The largest sites are Pețelca-Cascadă (8.81 ha) and Alba Iulia-Recea/Monolit (8.40 ha), which may represent two distinct regional centers within southwest Transylvania.
Table 4
| ID | Site name | Site size (ha) |
|---|---|---|
| 6 | Alba Iulia-Recea/Monolit | 8.39894596661 |
| 51 | Capud-Măgura Capudului | 0.16538021759 |
| 68 | Cicău-Săliște | 0.77017743637 |
| 97 | Geoagiu de Sus-Fântâna Mare | 3.53158315546 |
| 136 | Lancrăm-Glod | 1.60842068679 |
| 230 | Sântimbru-La Tarmure/La Ieruga | 2.25637342921 |
| 241 | Stremț-Fabrica de Alcool | 3.73152474901 |
| 278 | Pețelca-Cascadă | 8.80784618233 |
Formative Wietenberg site sizes (Wietenberg type A).
Classical Wietenberg: southwest Transylvania site and rank-size analysis
Of the sites that may be from the Classical Wietenberg Phase, 19 of 44 (43.2%) have site size estimates (Table 5). Nine of the sites (47.4% of Classical Wietenberg sites) are classified as small sites (under 3 hectares), five sites (36.8% of Classical Wietenberg sites) are classified as medium-sized (between 3 and 6.5 hectares), and three sites (15.8% of Classical Wietenberg sites) are classified as large sites (over 6.5 hectares). The rank-size graph matches a concave distribution (A = 0.486), which is normally associated with a settlement pattern without a large regional center (see Figure 5). The largest sites are Pețelca-Cascadă (8.81 ha) and Alba Iulia-Recea/Monolit (8.40 ha), which may represent two distinct regional centers within southwest Transylvania. The third large site, Micești-Cigaș covers 7.61 ha though it is a single component site (cultural deposits <20 cm in depth) unlike the deeply stratified sites of Pețelca-Cascadă and Alba Iulia-Recea/Monolit.
Table 5
| ID | Site name | Site size (ha) |
|---|---|---|
| 3 | Aiud-Cetățuie | 1.70097152625 |
| 6 | Alba Iulia-Recea/Monolit | 8.39894596661 |
| 41 | Bărăbanț-(no name) | 5.64303043924 |
| 68 | Cicău-Săliște | 0.77017743637 |
| 78 | Dumitra-(no name) | 0.23990372724 |
| 97 | Geoagiu de Sus-Fântâna Mare | 3.53158315546 |
| 104 | Geoagiu de Sus-Viile Satului | 0.94546110990 |
| 136 | Lancrăm-Glod | 1.60842068679 |
| 161 | Micești-Cigaș | 7.61207839661 |
| 176 | Ormeniș-Cânepiște/Cânepi/La Pod | 0.74368708325 |
| 230 | Sântimbru-La Tarmure/La Ieruga | 5.01268083627 |
| 241 | Stremț-Fabrica de Alcool | 3.73152474901 |
| 251 | Uioara de Jos-Îtardeau/La Parloage | 0.17426187250 |
| 252 | Uioara de Jos-La Grui/Gruiul lui Sip | 0.49037463410 |
| 278 | Pețelca-Cascadă | 8.80784618233 |
| 280 | Oiejdea-Bilag 1 | 4.46265270622 |
| 286 | Acmariu-Școală | 5.073918 |
| 287 | Acmariu-Valea Feneșului | 1.644249 |
| 288 | Șpring-Cătun Carpen | 6.188635 |
Classical Wietenberg site sizes (Wietenberg types B, C, and D).
Terminal Wietenberg: southwest Transylvania site and rank-size analysis
Unfortunately, there are no Wietenberg ceramic styles that are temporally diagnostic of the Terminal Wietenberg period. As a result, this site-size analysis is limited to sites within the Geoagiu Valley that have been more intensively studied and dated. There are 4 sites that date to the Terminal Wietenberg with site size estimates (Table 6). One of the sites is classified as a small site (under 3 hectares), two sites are classified as medium-sized (between 3 and 6 hectares), and one site is classified as large sites (over 6 hectares). The rank-size graph is slightly concave (A = 0.149), which is normally associated with a settlement pattern without a large regional center (see Figure 5). The largest site is Pețelca-Cascadă (8.81 ha).
Table 6
| ID | Site name | Site size (ha) |
|---|---|---|
| 97 | Geoagiu de Sus-Fântâna Mare | 3.53158315546 |
| 191 | Rameț-Curmatura | 1.77010882695 |
| 275* | Teiuș-Fântâna Viilor | 5.38294906406 |
| 278 | Pețelca-Cascadă | 8.80784618233 |
Terminal Wietenberg site sizes (sites in Geoagiu Valley).
*Noua culture site with some Wietenberg ceramics.
Geoagiu Valley site-size analysis
In the Geoagiu Valley, where several sites have been investigated through test excavations, it is possible to use radiocarbon dates to develop a fine-grained record of settlement history within the valley (Figure 6). However, not all settlements have been dated. For example, dates are not available for Early Bronze Age occupations at Stremț-Berc 1, Capud-No name and Rameț-Gugului. The site-size hierarchy within the settlement system fluctuated throughout the Middle Bronze Age and early Late Bronze Age in the Geoagiu Valley. For the majority of the Early and Middle Bronze Ages, only one or two tiers of settlement sizes were contemporaneously occupied. With the introduction of Noua communities in the LBA, Wietenberg communities reorganized and were characterized by a three-tier settlement hierarchy for the first time. This new settlement configuration was brief, as it, as well as the Wietenberg Culture in southwest Transylvania, collapsed after 100–150 years (by 1320 BCE).
Figure 6

Bayesian model of dated Bronze Age sites in the Geoagiu Valley with site sizes.
Discussion
The broad trajectory of site-and rank-size analyses provides a divergent picture of Bronze Age Transylvanian settlement systems. There is a general trend toward an increase in the frequency of large sites throughout the Bronze Age in southwest Transylvania (Figure 7). In EBA I and EBA II, all sites are below 3 ha in size. In EBA III, one settlement (Oarda de Jos-Sesul Orzii) was over 3 ha. By the start of the Middle Bronze Age (Formative Wietenberg), people agglomerated into large towns (over 8 ha). This general pattern of multiple contemporaneously occupied large sites within the region continued throughout rest of the Middle Bronze Age (Classical Wietenberg) and into the Late Bronze Age (Terminal Wietenberg).
Figure 7

Distribution of southwest Transylvanian sites by ordinal categories of small (0–3 ha), medium (3–6.5 ha) and large (6.5–9 ha) by period.
In contrast, rank-sized analyses do not indicate a general or consistent shift toward a pattern of settlement hierarchy during the Bronze Age in Transylvania (Figure 8). EBA I pattern fits a more primate distribution. While all sites are considered small, one site (Sântimbru-Obreje/La Tabaci) is significantly larger than the rest. The EBA II settlement pattern more closely fit a concave distribution. The beginning of the EBA III saw a shift back toward a log-normal distribution. With the start of the Formative Wietenberg, and continuing with the Classical Wietenberg, settlement distributions became slightly more concave. The concave distribution in the Middle Bronze Age, despite the emergence of large sites is in part due to the presence of multiple large sites in southwest Transylvania (Alba Iulia-Recea/Monolit; Pețelca-Cascadă; Micești-Cigaș). Of these, Alba Iulia-Recea/Monolit and Pețelca-Cascadă are stratigraphically deep as well as horizontally large. If these two large sites represent central settlements within an integrated network, then it is likely that there were at least two networks in southwest Transylvania during this time.
Figure 8

Rank-size A-coefficient for southwest Transylvanian settlement systems by phase (horizontal black line) with 1-standard deviation (box) and 2-standard deviations (whiskers). 0 value of the A-coefficient (dotted line) represents a log-normal distribution.
Together, the size-and rank-size analyses suggest that there were three major shifts in how people positioned themselves across settlements during the Bronze Age. First, from EBA I to EBA II, people were dispersed more evenly across settlements. Second, from EBA III to the Formative Wietenberg, people began to aggregate in larger settlements. The settlement dynamics in the Geoagiu Valley reveal fission-fusion and rapid settlement shifts among Wietenberg communities. Third, and finally, from the Classical Wietenberg to Terminal Wietenberg, a three-tier site size hierarchy was established in the Geoagiu Valley. After the arrival of Noua communities into the region, Wietenberg communities increased the amount of archeologically visible activity (settlement and ritual deposition) in the high mountain passes that connect the lowland Mureș River Valley and the richest metal deposits in the region (see Quinn et al., 2020a). This configuration ultimately collapsed within 180 years as Transylvanian communities ultimately abandoned Wietenberg cultural identities during the Late Bronze Age. As seen in other regions in the Carpathian Basin (see Duffy, 2014, 2015), the presence of a site-size hierarchy in Transylvania is not definitive evidence of the presence of regional polities during the Bronze Age. Future work to document the sizes of other Bronze Age sites in the region would strengthen confidence in the patterns identified in this study.
The settlement ecology of Bronze Age Transylvanian communities connects how people positioned themselves relative to each other and to resources in the landscape. Throughout the Bronze Age, people’s strategies for when to aggregate, when to abandon settlements, and when to spread across the landscape varied significantly. At the start of the Early Bronze Age, the community at Sântimbru-Obreje/La Tabaci was larger than the rest, though it was still a small settlement. Most communities were more evenly spread across the landscape as people positioned themselves in locations where they could grow sufficient food for their communities and gain access to growing interregional trade routes.
By the Middle Bronze Age, the large regional centers, like Alba Iulia-Recea/Monolit and Pețelca-Cascadă, were consistent draws for a more continuous form of occupation, while the smaller village sites appear to have had shorter life-histories. Residents of smaller communities abandoned these sites more often, and while some people may have moved into the larger towns, it is likely that these communities established new smaller settlements in a different part of the landscape. There is currently no evidence that larger communities fissioned due to population density pressures. The persistence of larger towns may owe to their strategic positioning in highly productive catchments or along the primary interregional trade route (see Quinn and Ciugudean, 2018). The increased residential mobility of smaller communities may be linked to local depletion of resources, such as lumber and ore, that were important for craft production. Rather than find new ways of mobilizing resources to these settlements, as they would have for the larger towns, the communities decided to abandon the settlement and establish a new one with more easy access to key economic resources that were unevenly distributed across the Transylvanian landscape. For residents of the larger centers, the socioeconomic benefits of their strategic positioning likely offset the costs of transporting raw materials and food from increasingly distant locations into the settlement. This may have created political economic bottlenecks and opportunities for emerging elites to exert control (see Earle and Kristiansen, 2010; Earle et al., 2015). However, it may also have been a collective action problem that could have been mediated through cooperation without need of centralized control (see Carballo et al., 2014). In either case, all townspeople found reasons to aggregate and stay, such as seeking safety in numbers, potential access to ritual spaces, and more direct access to broader economic and social networks (see O’Shea and Nicodemus, 2019).
The arrival of migrant communities in the Late Bronze may have spurred new forms of competition for access to the critical natural resources (e.g., copper, gold, salt) in Transylvania. There is currently no evidence of direct violence between these communities, but the increased intensity of occupation of high elevation locations and ritual deposition at key mountain passes by Wietenberg communities may indicate indirect competition with Noua communities. This new regime of situating settlements indicates a shift in the settlement ecology of Terminal Wietenberg communities to prioritize securing access to metal ores that were only previously seen in the placement of Early Bronze Age burial mounds.
The patterns from southwest Transylvania fit within an emerging view of regional diversity in the trajectories of wealth inequality and political centralization in the European Bronze Age. In southeast Transylvania, Dietrich (2010, 2014) has argued for the presence of more hierarchical polities during the Middle Bronze Age based on hilltop fortified as sites that were elite-controlled centers that dominated the landscape. Alternatively, Puskás (2018), drawing upon Boroffka (1994), has suggested that these fortified hilltop sites may have been temporary refuges, though not fully discounting their potential link to emergent political elite. New radiocarbon dates from southeast Transylvania support the suggestion that the trajectories of Bronze Age societies in that region may have differed from those in southwest Transylvania (see Quinn et al., 2020a; Puskás et al., 2023). To the northwest of Transylvania in the Upper Tisza region, Kienlin et al. (2017, p. 118) have argued that the organization of social space was informed by concerns other than competition among individuals or corporate groups to establish political hierarchies. Further to the west, beyond the Apuseni Mountains and into the Carpathian Basin, many researchers, including Duffy (2014), Jaeger et al. (2018), Gogâltan et al. (2020), and Kanne (2022), have demonstrated the variability in socioeconomic organization, political centralization, and settlement dynamics between and within different regions of the Carpathian Basin.
The process of settling down in this resource-rich landscape was dynamic. As seen in cases where resources are broadly dispersed (see Feinman and Neitzel, 2023, pp. 6–7), metal ore was difficult to control and there was an increased emphasis on horizontal ties rather than hierarchical relationships throughout the Bronze Age. At the same time, the variability seen in how people positioned themselves in the landscape and relative to each other suggests that the key resources (e.g., from metal to agro-pastoral resources), or key part of the broader commodity chain (e.g., from extraction to distribution), were likely influenced by changes in historically-specific interactions, fashions, and decision-makers. While the location and abundance of ores did not vary significantly over the 1,500 years of the Bronze Age, where people lived, and the density of their settlements, would have necessitated changes in socioeconomic institutions for the procurement, distribution, and consumption of metal and other key resources over time. The settlement patterns explored in this study provide one view of these dynamics. Economic abundance, rather than the potential environmental marginality of mountain landscapes, may have inhibited the development of more hierarchical societies with significant wealth inequality (see Leppard, 2019). Future analyses of the temporality, population size, and socioeconomic organization of the emergent towns of the Middle Bronze Age in southwest Transylvania, as done for the much larger Trypillia megasites (see Chapman et al., 2019; Gaydarska, 2019), may provide insights into the relationship among site size, social inequality, and political authority. Additional work on the organization and distribution of resources in detail at different communities in Bronze Age Transylvania, both large and small, are also needed to better understand the context and consequences of settling down.
Conclusion
This study contributes to a broader understanding of the factors that inform where people chose to settle down and the consequences those decisions have on the development of social, economic, and political institutions. Communities in resource-rich southwest Transylvania balanced agropastoral, crafting, and trade economies with social institutions to support emergent towns. By the Late Bronze Age, competition over resources played a greater role than sheer abundance in transforming how people positioned themselves relative to each other and the landscape. While people in Transylvania started to live in bigger towns by the Middle Bronze Age, the establishment of regional polities appears to have happened later.
Middle-range societies like those in Bronze Age Europe were dynamic, often driven by the tensions between social, economic, and political institutions (see Quinn and Beck, 2016). Settlement ecological perspectives provide a way to hold these tensions together into a complete view of society. As people balanced their priorities with the risks they entail, these tensions were mediated through the landscape – rendering their decision-making processes visible to archeologists.
Statements
Data availability statement
The original contributions presented in the study are included in the article/supplementary material, further inquiries can be directed to the corresponding author.
Author contributions
CQ: Conceptualization, Formal analysis, Funding acquisition, Methodology, Visualization, Writing – original draft, Writing – review & editing.
Funding
The author(s) declare that financial support was received for the research, authorship, and/or publication of this article. The funding for the fieldwork to collect the data used in this study was provided by the National Science Foundation (BCS-1341329), the Wenner-Gren Foundation (grant 8655), the American Philosophical Society. Additional support for this project was provided by the University of Michigan, Hamilton College, and the University at Buffalo.
Acknowledgments
This manuscript owes its existence to the Bronze Age Transylvania Survey Project, an international collaboration between American and Romanian scholars, in particular the research efforts and intellectual contributions by Horia Ciugudean. I would like to thank the Romanian and American archeologists that helped with BATS Project fieldwork, including Anna Antoniou, Mihaela Bleoanca, Dwanna Crain-Sacheleru, Ciprian Daramuș, Elspeth Geiger, Anca Georgescu, Adrian Mariuș, and Ion Sacheleru. The analyses were conducted as part of my dissertation research at the University of Michigan. My research has been significantly enhanced thanks to discussions on the concepts in this manuscript with Jess Beck, Alice Wright, and Lacey Carpenter. I would also like to thank editors Gary Feinman and VT and three reviewers for their insightful comments that have greatly improved this manuscript. All errors and omissions remain my own.
Conflict of interest
The author declares that the research was conducted in the absence of any commercial or financial relationships that could be construed as a potential conflict of interest.
Publisher’s note
All claims expressed in this article are solely those of the authors and do not necessarily represent those of their affiliated organizations, or those of the publisher, the editors and the reviewers. Any product that may be evaluated in this article, or claim that may be made by its manufacturer, is not guaranteed or endorsed by the publisher.
References
1
BălanG.QuinnC. P.HodginsG. (2018). “The cultural and chronological context of the Bronze Age cemetery from Sebeș-Între Răstoace” in Bronze Age Connectivity in the Carpathian Basin. eds. NémethR.ReziB.BereckiS. (Târgu Mureș: Bibliotheca Mvsei Marisiensis), 183–216.
2
BandyM. S. (2004). Fissioning, scalar stress, and social evolution in early village societies. Am. Anthropol.106, 322–333. doi: 10.1525/aa.2004.106.2.322
3
BeckJ.CiugudeanH.QuinnC. P. (2020). Bioarchaeology and mountain landscapes in Transylvania’s Golden quadrangle. Bioarchaeol. Internat.4, 89–110. doi: 10.5744/bi.2020.2002
4
BeckJ.QuinnC. P. (2023). Balancing the scales: archaeological approaches to social inequality. World Archaeol.54, 572–583. doi: 10.1080/00438243.2023.2169341
5
BirchJ. (2013). From Prehistoric Villages to Cities: Settlement Aggregation and Community Transformation. New York: Routledge.
6
BlantonR.FargherL. (2008). Collective Action in the Formation of Pre-modern States. New York: Springer.
7
BlitzJ.-H. (1999). Mississippian chiefdoms and the fission-fusion process. Am. Antiq.64, 577–592. doi: 10.2307/2694206
8
BondárM. (2012). Prehistoric Wagon Models in the Carpathian Basin (3500–1500 BC). Budapest: Archaeolingua.
9
Borgerhoff MulderM.BowlesS.HertzT.BellA.BeiseJ.ClarkG.et al. (2009). Intergenerational wealth transmission and the dynamics of inequality in small-scale societies. Science326, 682–688. doi: 10.1126/science.1178336
10
BoroffkaN. (1994). Die Wietenber-Kultur. Universitatsforschungen Zur Prahistorischen Archaologie. Bonn: Habelt.
11
BoroffkaN. (2006). Resursele minerale din România și stadiul actual al cercetărilor privind mineritul preistoric. Apulum43, 71–94.
12
BrumfielE. M. (1992). Breaking and entering the ecosystem: gender, class, and faction steal the show. Am. Anthropol.94, 551–567. doi: 10.1525/aa.1992.94.3.02a00020
13
CarballoD. M.RoscoeP.FeinmanG. M. (2014). Cooperation and collective action in the cultural evolution of complex societies. J. Archaeol. Method Theory21, 98–133. doi: 10.1007/s10816-012-9147-2
14
ChapmanJ.GaydarskaB.NebbiaM. (2019). The origins of Trypillia megasites. Front. Digital Human.6, 1–20. doi: 10.3389/fdigh.2019.00010
15
CiugudeanH. (2012). Ancient gold mining in Transylvania: the Roșia Montana-Bucium area. Caiete ARA3, 101–114.
16
CiugudeanH.GogâltanF. (1998). The Early and Middle Bronze Age in the Carpathian Basin: Proceedings of the International Symposium in Alba Iulia, 24–28 September 1997. Alba Iulia: Bibliotheca Musei Apulensis.
17
CiugudeanH.QuinnC. P. (2015). “The end of the Wietenberg culture in the light of new 14C dates and its chronological relation towards the Noua culture” in Bronze Age Chronology in the Carpathian Basin. eds. NémethR.ReziB.BereckiS. (Bibliotheca Mvsei Marisiensis: Târgu Mureș), 147–178.
18
CiutăB. (2012). Plant Species within the Diet of Prehistoric Communities from Transylvania. Cluj-Napoca: Mega Publishing House.
19
CrumleyC. L. (1979). Three locational models: an epistemological assessment for anthropology and archaeology. Adv. Archeol. Method Theory2, 141–173.
20
DietrichL. (2010). Eliten der frühen und mittleren Bronzezeit im südöstlichen Karpatenbecken. Praehistorische Zeitschrift85, 191–206. doi: 10.1515/pz.2010.011
21
DietrichL. (2014). Die mittlere und späte Bronzezeit und die ältere Eisenzeit in Südostsiebenbürgen aufgrund der Siedlung von Rotbav. Bonn: Dr. Rudolf Habelt GmbH.
22
DrennanR. D.PetersonC. E. (2004). Comparing archaeological settlement systems with rank-size graphs: a measure of shape and statistical confidence. J. Archaeol. Sci.31, 533–549. doi: 10.1016/j.jas.2003.10.002
23
DuffyP. R. (2014). Complexity and autonomy in Bronze Age Europe: Assessing cultural developments in eastern Hungary. (Budapest: Archaeolingua).
24
DuffyP. R. (2015). Site size hierarchy in middle-range societies. J. Anthropol. Archaeol.37, 85–99. doi: 10.1016/j.jaa.2014.12.001
25
EarleT. K.KristiansenK. (2010). Organizing Bronze Age Societies: The Mediterranean, Central Europe, and Scandinavia Compared. Cambridge: Cambridge University Press, Cambridge.
26
EarleT. K.LingJ.UhnérC.Stos-GaleZ.MelheimL. (2015). The political economy and metal trade in Bronze Age Europe: understanding regional variability in terms of comparative advantages and articulations. Eur. J. Archaeol.18, 633–657. doi: 10.1179/1461957115Y.0000000008
27
EarleT. K.SpriggsM. (2015). Political economy in prehistory: a Marxist approach to Pacific sequences. Curr. Anthropol.56, 515–544. doi: 10.1086/682284
28
FeinmanG. M.NeitzelJ. E. (2023). The social dynamics of settling down. J. Anthropol. Archaeol.69:101468. doi: 10.1016/j.jaa.2022.101468
29
FlanneryK. V. (1976). The Early Mesoamerican Village. New York: Academic Press.
30
GalatyM. L. (2005). European regional studies: a coming of ages?J. Archaeol. Res.13, 291–336. doi: 10.1007/s10814-005-5110-z
31
GăvanA.KienlinT. L. (2021). “Introduction: Bronze Age settlements in North-Western Romania” in Bronze Age Tell Settlements in North-Western Romania: Current Approaches and Recent Investigations. eds. KienlinT. L.GăvanA. (Habelt: Bonn), 9–20.
32
GaydarskaB. (2019). “Trypillia Megasites: the first cities in Europe?” in Coming Together: Comparative Approaches to Population Aggregation and Early Urbanization. ed. GyuchaA. (Albany: State University of New York Press), 165–187.
33
GilmanA. (1981). The development of social stratification in Bronze Age Europe. Curr. Anthropol.22, 1–23. doi: 10.1086/202600
34
GogâltanF.SavaV. (2010). Sântana-Cetatea Veche: O Fortificație De Pământ a Epocii Bronzului La Mureșul De Jos. Arad: Complexul Muzeal Arad.
35
GogâltanF.SavaV.KrauseR. (2019). Sântana-Cetatea Veche. A Late Bronze Age mega-fort in the lower Mureș Basin in southwestern Romania, in Materialisierung von Konflikten eds. S. Hansen and R. Krause (Bonn: Halbet-Verlag), 191–222.
36
GogâltanF.GăvanA.LieM. A.FazecașG.CordoșC.KienlinT. L. (2020). “Exploring the Bronze Age tells and tell-like settlements from the eastern Carpathian Basin: results of a research project”, in Current Approaches to Tells i the Prehistoric Old World. eds. A. Blanco-González and T. L. Kienlin (Oxford: Oxbow Books), 73–95.
37
GyuchaA.ParkinsonW. A. (2022). First Kings of Europe: From Farmers to Rulers in Prehistoric Southeastern Europe. Los Angeles: Cotsen Institute of Archaeology Press.
38
HanksB.LinduffK. M. (2009). Social Complexity in Prehistoric Eurasia: Monuments, Metals, and Mobility. Cambridge: Cambridge University Press.
39
HardingA.KavrukV. (2013). “Transylvania” in Explorations in Salt Archaeology in the Carpathian Zone. eds. HardingA.KavrukV. (Archaeolingua: Budapest), 41–153.
40
Holland-LulewiczJ.CongerM.BirchJ.KowalewskiS.JonesT. (2020). An institutional approach for archaeology. J. Anthropol. Archaeol.58:101163. doi: 10.1016/j.jaa.2020.101163
41
JaegerM.KulscárG.TaylorN.StaniukR. (2018). Kakucs-Turján: A Middle Bronze Age Multi-Layered Fortified Settlement in Central Hungary. Bonn: Dr. Rudolf Habelt GmbH.
42
JazwaC. S.JazwaK. A. (2017). Settlement ecology in Bronze Age Messenia. J. Anthropol. Archaeol.45, 157–169. doi: 10.1016/j.jaa.2016.12.003
43
JonesE. E. (2010). An analysis of factors influencing sixteenth and seventeenth century Haudenosaunee (Iroquois) settlement locations. J. Anthropol. Archaeol.29, 1–14. doi: 10.1016/j.jaa.2009.09.002
44
JonesE. E. (2017). Significance and context in GIS-based spatial archaeology: a case study from southeastern North America. J. Archaeol. Sci.84, 54–62. doi: 10.1016/j.jas.2017.05.009
45
JonesE. E.EllisP. (2016). Multiscalar settlement ecology study of Piedmont Village tradition communities, A.D. 1000–1600. Southeast. Archaeol.35, 85–114. doi: 10.1179/2168472315Y.0000000007
46
KanneK. (2022). Riding, ruling, and resistance: equestrianism and political authority in the Hungarian Bronze age. Curr. Anthropol.63, 289–329. doi: 10.1086/720271
47
KellettL. C.JonesE. E. (2017). Settlement Ecology of the Ancient Americas. New York: Routledge.
48
KienlinT. L. (2018). “Borsod region Bronze Age settlement: ‘diversity in uniformity’” in Borsod Region Bronze Age Settlement (BORBAS). eds. KienlinT. L.FischlK.PusztaiT. (Dr. Rudolf Habelt GmbH: Bonn), 11–92.
49
KienlinT. L.FischlK. P.MartaL. (2017). Exploring divergent trajectories in Bronze Age landscapes: tell settlement in the Hungarian Borsod plain and the Romanian Ier Valley. Ziridava31, 93–128.
50
KristiansenK.LarssonT. B. (2005). The Rise of Bronze Age Society: Travels, Transmissions and Transformations. Cambridge: Cambridge University Press.
51
LaabsJ. (2023). Wealth consumption, sociopolitical organization, and change: a perspective from burial analysis on the Middle Bronze Age in the Carpathian Basin. Open Archaeol.9:20220281. doi: 10.1515/opar-2022-0281
52
LeppardT. P. (2019). Social complexity and social inequality in the prehistoric Mediterranean. Curr. Anthropol.60, 283–308. doi: 10.1086/703174
53
LieM. A.GăvanA.CordoșC.KienlinT. L.FazecașG.GogâltanF. (2019). “The Bronze Age tell settlement at Toboliu (Bihor County, Romania): a brief outline of recent investigations” in Beyond Divides: the Otomani-Füzesabony Phenomenon. eds. FischlK. P.KienlinT. L. (Dr. Rudolf Habelt GmbH: Bonn), 351–368.
54
LingJ.ChaconR.KristiansenK. (2022). Trade Before Civilization: New Perspectives on Long-Distance Exchange and Social Complexity. Cambridge: Cambridge University Press.
55
LingJ.Hjärthner-HoldarE.GrandinL.BillströmK.PerssonP.-O. (2013). Moving metals or indigenous mining? Provenancing Scandinavian Bronze Age artefacts by lead isotopes and trace elements. J. Archaeol. Sci.40, 291–304. doi: 10.1016/j.jas.2012.05.040
56
LingJ.Stos-GaleZ.GrandinL.BillströmK.Hjärthner-HoldarE. (2014). Moving metals II: provenancing Scandinavian Bronze Age artefacts by lead isotope and elemental analyses. J. Archaeol. Sci.41, 106–132. doi: 10.1016/j.jas.2013.07.018
57
McClureS. B.BartonC. M.JochimM. A. (2009). Human behavioral ecology and climate change during the transition to agriculture in Valencia, eastern Spain. J. Anthropol. Res.65, 253–269. doi: 10.3998/jar.0521004.0065.206
58
NémetiJ.MolnárZ. (2002). A Tell Telepek Elterjedése a Nagykárolyi-Síkságon És Az Ér Völgyében. Cluj-Napoca: Editura Scientia.
59
NémetiJ.MolnárZ. (2012). Bronzkori Hatalmi Központok Északnyugat-Erdélyben: A Nagykároly-Bobáld-Tell/Bronzezeitliche Machtzentren in Nordwest-Siebenbürgen: Der Tell Von Carei-Bobáld. Szeged: Szegedi Tudományegyetem, Régészeti Tanszék.
60
NicodemusA. (2014). Bronze age economies of the Carpathian Basin: trade, craft production, and agro-pastoral intensification. Ph.D. Dissertation, University of Michigan, Ann Arbor.
61
NicodemusA. (2018). “Food, status, and power: animal production and consumption practices during the Carpathian Basin bronze age” in Social Dimensions of Food in the Prehistory of the Eastern Balkans and Neighbouring Areas. eds. IvanovaM.StockhammerP.AthanassovB.PetrovaV.TakorovaD. (Oxford: Oxbow Books), 248–262.
62
O’SheaJ. M. (2011). A river runs through it: landscape and the evolution of Bronze Age networks in the Carpathian Basin. J. World Prehist.24, 161–174. doi: 10.1007/s10963-011-9046-6
63
O’SheaJ. M.NicodemusA. (2019). ““... The nearest run thing...”: The genesis and collapse of a Bronze Age polity in the Maros Valley of southeastern Europe” in Coming Together: Comparative Approaches to Population Aggregation and Early Urbanization. ed. GyuchaA. (Albany: State University of New York Press), 61–80.
64
ParkinsonW. A. (2002). “Integration, interaction, and tribal ‘cycling’: the transition to the Copper Age on the Great Hungarian Plain” in The Archaeology of Tribal Societies. ed. ParkinsonW. A. (Ann Arbor: International Monographs in Prehistory), 391–438.
65
PetersonC. E.DrennanR. D. (2011). “Patterned variation in regional trajectories of community growth” in The Comparative Archaeology of Complex Societies. ed. SmithM. E. (Cambridge: Cambridge University Press), 88–137.
66
PuskásJ. (2018). “Middle Bronze Age settlement patterns and metal discoveries in the valley of the Black River” in Bronze Age Connectivity in the Carpathian Basin. eds. ReziB.NémethR. E. (Editura MEGA: Târgu Mureș), 217–278.
67
PuskásJ.SztáncsujS.-J.DarvasL.BuzeaD.Kosza-BereczkiJ. (2023). Chronology of the Bronze Age in Southeast Transylvania. Dissert. Archaeol.3, 77–178. doi: 10.17204/dissarch.2023.77
68
QuinnC. P.BarrierC. R. (2018). “Early regional centers: evolution and organization” in Encyclopedia of Global Archaeology. ed. SmithC.. 2nd ed (New York: Springer), 1–13.
69
QuinnC. P.BeckJ. (2016). Essential tensions: a framework for exploring inequality through mortuary archaeology and bioarchaeology. Open Archaeol.2, 18–41. doi: 10.1515/opar-2016-0002
70
QuinnC. P.CiugudeanH. (2018). Settlement placement and socio-economic priorities: dynamic landscapes in Bronze Age Transylvania. J. Archaeol. Sci. Rep.19, 936–948. doi: 10.1016/j.jasrep.2017.05.046
71
QuinnC. P.CiugudeanH.BălanG.HodginsG. (2020a). Rethinking time, culture, and socioeconomic organisation in Bronze Age Transylvania. Antiquity94, 44–61. doi: 10.15184/aqy.2019.231
72
QuinnC. P.CiugudeanH.BeckJ. (2020b). The politics of placing the dead in Bronze Age Transylvania. J. Archaeol. Sci. Rep.34:102574. doi: 10.1016/j.jasrep.2020.102574
73
QuinnC. P.WalkerE.WrightA. (2022). Late Woodland settlement ecology of the Appalachian summit. Southeast. Archaeol.41, 32–52. doi: 10.1080/0734578X.2022.2029803
74
RadivojevićM.RobertsB. W.PernickaE.Stos-GaleZ.Martinón-TorresM.RehrenT.et al. (2019). The provenance, use, and circulation of metals in the European Bronze Age: the state of debate. J. Archaeol. Res.27, 131–185. doi: 10.1007/s10814-018-9123-9
75
SherrattA. (1983). The secondary exploitation of animals in the Old World. World Archaeol.15, 90–104. doi: 10.1080/00438243.1983.9979887
76
SmithE. A.CoddingB. F. (2021). Ecological variation and institutionalized inequality in hunter-gatherer societies. Proc. Natl. Acad. Sci.118:e2016134118. doi: 10.1073/pnas.2016134118
77
StoneG. D. (1996). Settlement ecology: the social and spatial organization of Kofyar agriculture. Tucson: University of Arizona Press.
78
SzentmiklosiA.HeebB. S.HeebJ.HardingA.KrauseR.BeckerH. (2011). Cornesți-Iarcuri — a Bronze Age town in the Romanian Banat?Antiquity95, 819–838. doi: 10.1017/S0003598X00068332
79
Van de NoortR. (2004). An ancient seascape: the social context of seafaring in the Early Bronze Age. World Archaeol.35, 404–415. doi: 10.1080/0043824042000185793
80
WeitzelE. M.CoddingB. F. (2022). The ideal distribution model and archaeological settlement patterning. Environ. Archaeol.27, 349–356. doi: 10.1080/14614103.2020.1803015
81
ZipfG. K. (1949). Human behavior and the principle of least effort. Cambridge: Harvard University Press.
Summary
Keywords
Bronze Age, settlement ecology, settlement patterns, hierarchy, landscape
Citation
Quinn CP (2024) Settlement ecology of Bronze Age Transylvania. Front. Hum. Dyn. 6:1360479. doi: 10.3389/fhumd.2024.1360479
Received
23 December 2023
Accepted
01 May 2024
Published
24 May 2024
Volume
6 - 2024
Edited by
Victor D. Thompson, University of Georgia, United States
Reviewed by
Danielle Riebe, University of Georgia, United States
Adam S. Green, University of York, United Kingdom
Katherine Kanne, University College Dublin, Ireland
Updates
Copyright
© 2024 Quinn.
This is an open-access article distributed under the terms of the Creative Commons Attribution License (CC BY). The use, distribution or reproduction in other forums is permitted, provided the original author(s) and the copyright owner(s) are credited and that the original publication in this journal is cited, in accordance with accepted academic practice. No use, distribution or reproduction is permitted which does not comply with these terms.
*Correspondence: Colin P. Quinn, cpquinn@buffalo.edu
Disclaimer
All claims expressed in this article are solely those of the authors and do not necessarily represent those of their affiliated organizations, or those of the publisher, the editors and the reviewers. Any product that may be evaluated in this article or claim that may be made by its manufacturer is not guaranteed or endorsed by the publisher.